Question
If a large housefly 3.0 m away from you makes a noise of 40.0 dB, what is the noise level of 1000 flies at that distance, assuming interference has a negligible effect?
Final Answer
Solution video
OpenStax College Physics for AP® Courses, Chapter 17, Problem 22 (Problems & Exercises)

vote with a rating of
votes with an average rating of
.
Calculator Screenshots
Video Transcript
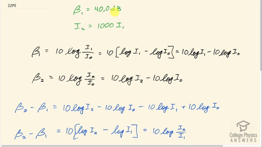
This is College Physics Answers with Shaun Dychko. A single housefly makes a sound with a sound level of 40.0 decibels and then we are told what if there were 1000 houseflies at that same position 3.0 meters away? Well in that case the intensity for this second sound would be 1000 times the intensity of the first sound and we can say that because intensity is power per area and if there are 1000 flies now that's gonna multiply the power by a 1000 and the area over which the sound is distributed is the same because it's distributed over this spherical shell of radius 3.0 meters because here's the housefly right here and then here's the person and now we are just putting 1000 houseflies in that same position. Okay! So since the power is getting multiplied by a 1000 and the area over which the sound is distributed is the same that means the second intensity is going to be 1000 times the first intensity. So what is the sound level in the second case then is the question? So the sound level in the first case is 10 times logarithm of the first intensity divided by the intensity of the threshold of hearing and we can write this logarithm of a quotient as the difference between the logarithm of the top of the fraction and the logarithm of the bottom of the fraction. So we write this as 10 times logarithm I 1 minus I naught. and then distribute the 10 into the brackets to get 10 log I 1 minus 10 log I naught. β 2 is, by the same logic, gonna be 10 times logarithm I 2 minus 10 times logarithm I naught and so our job is to solve for β 2 and we are going to subtract the left side of the equation and then subtract the right side of the equation so we have β 2 minus β 1 equals 10 log I 2 minus 10 log I naught that's copied right here and then from that we are gonna subtract 10 log I 1 minus 10 log I naught. Now this subtract and this minus here are together going to make a plus 10 log I naught here and then a minus 10 log I 1. So the 10 log I naught makes zero because one's positive and one's negative and we can factor out the 10 here and write β 2 minus β 1 is 10 log I 2 minus log I 1 and then apply the quotient rule in the opposite direction and write this difference of logarithms as the logarithm of a single fraction so we have 10 log I 2 over I 1 and then solve for β 2 by adding β 1 to both sides. So β 2 is β 1 plus 10 log I 2 over I 1. So that's β 1 plus 10 log of 1000 times I 1 over I 1 making a substitution for I 2 which we know is 1000 times I 1 and the I 1's cancel leaving us with β 2 is β 1 plus 10 log of a 1000 which is 40.0 decibels plus 30.0 and that works out to 70.0 decibels; this is 30 because log of 1000 is 3 and then 10 times 3 is 30 and there we go! 70.0 decibels is what you would expect the sound level to be for 1000 flies given 40.0 decibels for a single fly.