Question
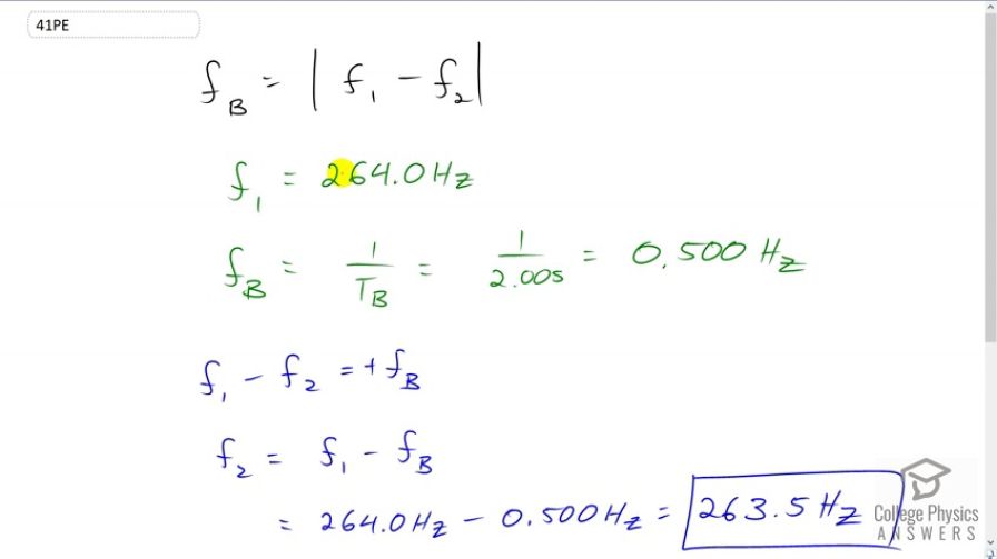
A piano tuner hears a beat every 2.00 s when listening to a 264.0-Hz tuning fork and a single piano string. What are the two possible frequencies of the string?
Final Answer
or
Solution video
OpenStax College Physics for AP® Courses, Chapter 17, Problem 41 (Problems & Exercises)

vote with a rating of
votes with an average rating of
.
Video Transcript
This is College Physics Answers with Shaun Dychko. A piano tuner hears a beat every two seconds when they are tuning against the string of a known frequency of 2640 hertz and the question is what the other frequency is going to be. Well, beat frequency is the absolute value of the difference between the two frequencies and the one frequency we know and the beat frequency is we can figure out because frequency is the reciprocal of period. So, that’s one over two seconds that are between each beat. So, that’s 0.500 Hertz and so when you solve an absolute value equation, you need to solve two different equations. One with this thing inside the absolute value equaling positive and the other, as I have done here, and the other equation will be with the thing inside absolute value sign equaling the negative. So, taking the beat frequency to be positive, we have f one minus the beat frequency is going to be f two. So we are solving for f two here by adding f two on both sides and then subtracting beat frequency from both sides and then switching the sides around and f two then is going to be 264 hertz minus 0.500 which is 263.5 hertz or its possible that the other frequency is 264.5 hertz. So, that means half a hertz above the known string because if this… if this difference is actually negative in the end then we have to solve this equation and then we will add f b to both sides and f two to both sides and then switch the sides around. So, f two is f one plus f b and there we go!