Chapter 17

Chapter thumbnail
This tree fell some time ago. When it fell, atoms in the air were disturbed. Physicists would call this disturbance sound whether someone was around to hear it or not.

Chapter 17 : Physics of Hearing - all with Video Solutions

Problems & Exercises

Section 17.2: Speed of Sound, Frequency, and Wavelength

Problem 4

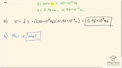
(a) What is the speed of sound in a medium where a 100-kHz frequency produces a 5.96-cm wavelength? (b) Which substance in Table 17.1 is this likely to be?

View solution

Problem 6

Air temperature in the Sahara Desert can reach 56.0C56.0^\circ\textrm{C} (about 134F134^\circ\textrm{F} ). What is the speed of sound in air at that temperature?

View solution

Problem 7

Dolphins make sounds in air and water. What is the ratio of the wavelength of a sound in air to its wavelength in seawater? Assume air temperature is 20.0C20.0^\circ\textrm{C}.

View solution

Problem 8

A sonar echo returns to a submarine 1.20 s after being emitted. What is the distance to the object creating the echo? (Assume that the submarine is in the ocean, not in fresh water.)

View solution

Problem 9

(a) If a submarine’s sonar can measure echo times with a precision of 0.0100 s, what is the smallest difference in distances it can detect? (Assume that the submarine is in the ocean, not in fresh water.)

View solution

Problem 10

A physicist at a fireworks display times the lag between seeing an explosion and hearing its sound, and finds it to be 0.400 s. (a) How far away is the explosion if air temperature is 24.0C24.0^\circ\textrm{C} and if you neglect the time taken for light to reach the physicist? (b) Calculate the distance to the explosion taking the speed of light into account. Note that this distance is negligibly greater.

View solution

Problem 11

Suppose a bat uses sound echoes to locate its insect prey, 3.00 m away. (See Figure 17.11.) (a) Calculate the echo times for temperatures of 5.00C5.00^\circ\textrm{C} and 35.0C35.0^\circ\textrm{C} . (b) What percent uncertainty does this cause for the bat in locating the insect? (c) Discuss the significance of this uncertainty and whether it could cause difficulties for the bat. (In practice, the bat continues to use sound as it closes in, eliminating most of any difficulties imposed by this and other effects, such as motion of the prey.)

View solution

Section 17.3: Sound Intensity and Sound Level

Problem 14

A sound wave traveling in 20C20^\circ\textrm{C} air has a pressure amplitude of 0.5 Pa. What is the intensity of the wave?

View solution

Problem 16

What sound intensity level in dB is produced by earphones that create an intensity of 4.00×102 W/m24.00\times 10^{-2}\textrm{ W/m}^2?

View solution

Problem 17

Show that an intensity of 1012 W/m210^{-12} \textrm{ W/m}^2 is the same as 1016 W/cm210^{-16} \textrm{ W/cm}^2.

View solution

Problem 18

(a) What is the decibel level of a sound that is twice as intense as a 90.0-dB sound? (b) What is the decibel level of a sound that is one-fifth as intense as a 90.0-dB sound?

View solution

Problem 19

(a) What is the intensity of a sound that has a level 7.00 dB lower than a 4.00×109 W/m24.00 \times 10^{-9} \textrm{ W/m}^2 sound? (b) What is the intensity of a sound that is 3.00 dB higher than a 4.00×109 W/m24.00 \times 10^{-9} \textrm{ W/m}^2 sound?

View solution

Problem 20

(a) How much more intense is a sound that has a level 17.0 dB higher than another? (b) If one sound has a level 23.0 dB less than another, what is the ratio of their intensities?

View solution

Problem 21

People with good hearing can perceive sounds as low in level as 8.00 dB-8.00 \textrm{ dB} at a frequency of 3000 Hz. What is the intensity of this sound in watts per meter squared?

View solution

Problem 22

If a large housefly 3.0 m away from you makes a noise of 40.0 dB, what is the noise level of 1000 flies at that distance, assuming interference has a negligible effect?

View solution

Problem 23

Ten cars in a circle at a boom box competition produce a 120-dB sound intensity level at the center of the circle. What is the average sound intensity level produced there by each stereo, assuming interference effects can be neglected?

View solution

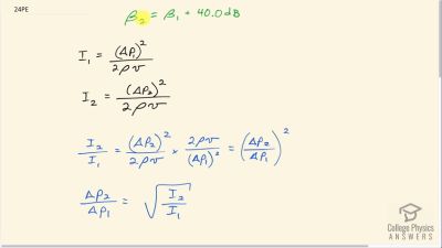
Problem 24

The amplitude of a sound wave is measured in terms of its maximum gauge pressure. By what factor does the amplitude of a sound wave increase if the sound intensity level goes up by 40.0 dB?

View solution

Problem 25

If a sound intensity level of 0 dB at 1000 Hz corresponds to a maximum gauge pressure (sound amplitude) of 109 atm10^{-9} \textrm{ atm}, what is the maximum gauge pressure in a 60-dB sound? What is the maximum gauge pressure in a 120-dB sound?

View solution

Problem 26

An 8-hour exposure to a sound intensity level of 90.0 dB may cause hearing damage. What energy in joules falls on a 0.800-cm-diameter eardrum so exposed?

View solution

Problem 27

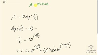
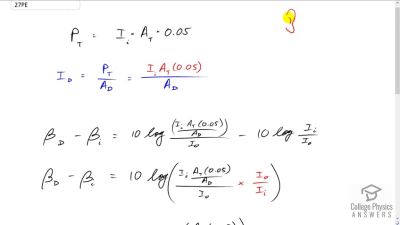
(a) Ear trumpets were never very common, but they did aid people with hearing losses by gathering sound over a large area and concentrating it on the smaller area of the eardrum. What decibel increase does an ear trumpet produce if its sound gathering area is 900 cm2900 \textrm{ cm}^2 and the area of the eardrum is 0.500 cm20.500 \textrm{ cm}^2, but the trumpet only has an efficiency of 5.00% in transmitting the sound to the eardrum? (b) Comment on the usefulness of the decibel increase found in part (a).

View solution

Problem 28

Sound is more effectively transmitted into a stethoscope by direct contact than through the air, and it is further intensified by being concentrated on the smaller area of the eardrum. It is reasonable to assume that sound is transmitted into a stethoscope 100 times as effectively compared with transmission though the air. What, then, is the gain in decibels produced by a stethoscope that has a sound gathering area of 15.0 cm215.0\textrm{ cm}^2 , and concentrates the sound onto two eardrums with a total area of 0.900 cm20.900 \textrm{ cm}^2 with an efficiency of 40.0%?

View solution

Problem 29

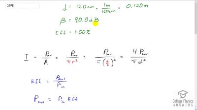
Loudspeakers can produce intense sounds with surprisingly small energy input in spite of their low efficiencies. Calculate the power input needed to produce a 90.0-dB sound intensity level for a 12.0-cm-diameter speaker that has an efficiency of 1.00%. (This value is the sound intensity level right at the speaker.)

View solution

Section 17.4: Doppler Effect and Sonic Booms

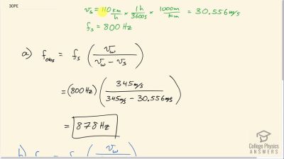
Problem 30

(a) What frequency is received by a person watching an oncoming ambulance moving at 110 km/h and emitting a steady 800-Hz sound from its siren? The speed of sound on this day is 345 m/s. (b) What frequency does she receive after the ambulance has passed?

View solution

Problem 31

(a) At an air show a jet flies directly toward the stands at a speed of 1200 km/h, emitting a frequency of 3500 Hz, on a day when the speed of sound is 342 m/s. What frequency is received by the observers? (b) What frequency do they receive as the plane flies directly away from them?

View solution

Problem 32

What frequency is received by a mouse just before being dispatched by a hawk flying at it at 25.0 m/s and emitting a screech of frequency 3500 Hz? Take the speed of sound to be 331 m/s.

View solution

Problem 33

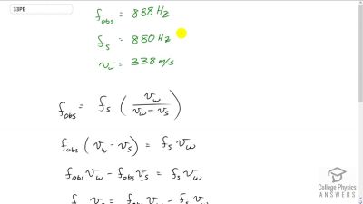
A spectator at a parade receives an 888-Hz tone from an oncoming trumpeter who is playing an 880-Hz note. At what speed is the musician approaching if the speed of sound is 338 m/s?

View solution

Problem 34

A commuter train blows its 200-Hz horn as it approaches a crossing. The speed of sound is 335 m/s. (a) An observer waiting at the crossing receives a frequency of 208 Hz. What is the speed of the train? (b) What frequency does the observer receive as the train moves away?

View solution

Problem 35

Can you perceive the shift in frequency produced when you pull a tuning fork toward you at 10.0 m/s on a day when the speed of sound is 344 m/s? To answer this question, calculate the factor by which the frequency shifts and see if it is greater than 0.300%.

View solution

Problem 36

Two eagles fly directly toward one another, the first at 15.0 m/s and the second at 20.0 m/s. Both screech, the first one emitting a frequency of 3200 Hz and the second one emitting a frequency of 3800 Hz. What frequencies do they receive if the speed of sound is 330 m/s?

View solution

Problem 37

What is the minimum speed at which a source must travel toward you for you to be able to hear that its frequency is Doppler shifted? That is, what speed produces a shift of 0.300% on a day when the speed of sound is 331 m/s?

View solution

Section 17.5: Sound Interferrence and Resonance: Standing Waves in Air Columns

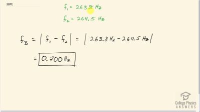
Problem 38

A “showy” custom-built car has two brass horns that are supposed to produce the same frequency but actually emit 263.8 and 264.5 Hz. What beat frequency is produced?

View solution

Problem 39

What beat frequencies will be present: (a) If the musical notes A and C are played together (frequencies of 220 and 264 Hz)? (b) If D and F are played together (frequencies of 297 and 352 Hz)? (c) If all four are played together?

View solution

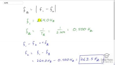
Problem 41

A piano tuner hears a beat every 2.00 s when listening to a 264.0-Hz tuning fork and a single piano string. What are the two possible frequencies of the string?

View solution

Problem 42

(a) What is the fundamental frequency of a 0.672-m-long tube, open at both ends, on a day when the speed of sound is 344 m/s? (b) What is the frequency of its second harmonic?

View solution

Problem 43

If a wind instrument, such as a tuba, has a fundamental frequency of 32.0 Hz, what are its first three overtones? It is closed at one end. (The overtones of a real tuba are more complex than this example, because it is a tapered tube.)

View solution

Problem 44

What are the first three overtones of a bassoon that has a fundamental frequency of 90.0 Hz? It is open at both ends. (The overtones of a real bassoon are more complex than this example, because its double reed makes it act more like a tube closed at one end.)

View solution

Problem 45

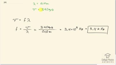
How long must a flute be in order to have a fundamental frequency of 262 Hz (this frequency corresponds to middle C on the evenly tempered chromatic scale) on a day when air temperature is 20.0C20.0^\circ\textrm{C}? It is open at both ends.

View solution

Problem 46

What length should an oboe have to produce a fundamental frequency of 110 Hz on a day when the speed of sound is 343 m/s? It is open at both ends.

View solution

Problem 47

What is the length of a tube that has a fundamental frequency of 176 Hz and a first overtone of 352 Hz if the speed of sound is 343 m/s?

View solution

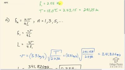
Problem 48

(a) Find the length of an organ pipe closed at one end that produces a fundamental frequency of 256 Hz when air temperature is 18.0C18.0^\circ\textrm{C} . (b) What is its fundamental frequency at 25.0C25.0^\circ\textrm{C}?

View solution

Problem 49

By what fraction will the frequencies produced by a wind instrument change when air temperature goes from 10.0C10.0^\circ\textrm{C} to 30.0C30.0^\circ\textrm{C}? That is, find the ratio of the frequencies at those temperatures.

View solution

Problem 50

The ear canal resonates like a tube closed at one end. (See Figure 17.38.) If ear canals range in length from 1.80 to 2.60 cm in an average population, what is the range of fundamental resonant frequencies? Take air temperature to be 37.0C37.0^\circ\textrm{C} , which is the same as body temperature. How does this result correlate with the intensity versus frequency graph (Figure 17.36 of the human ear?

View solution

Problem 51

Calculate the first overtone in an ear canal, which resonates like a 2.40-cm-long tube closed at one end, by taking air temperature to be 37.0C37.0^\circ\textrm{C}. Is the ear particularly sensitive to such a frequency? (The resonances of the ear canal are complicated by its nonuniform shape, which we shall ignore.)

View solution

Problem 52

A crude approximation of voice production is to consider the breathing passages and mouth to be a resonating tube closed at one end. (See Figure 17.29.) (a) What is the fundamental frequency if the tube is 0.240-m long, by taking air temperature to be 37.0C37.0^\circ\textrm{C}? (b) What would this frequency become if the person replaced the air with helium? Assume the same temperature dependence for helium as for air.

View solution

Problem 53

(a) Students in a physics lab are asked to find the length of an air column in a tube closed at one end that has a fundamental frequency of 256 Hz. They hold the tube vertically and fill it with water to the top, then lower the water while a 256-Hz tuning fork is rung and listen for the first resonance. What is the air temperature if the resonance occurs for a length of 0.336 m? (b) At what length will they observe the second resonance (first overtone)?

View solution

Problem 54

What frequencies will a 1.80-m-long tube produce in the audible range at 20.0C20.0^\circ\textrm{C} if: (a) The tube is closed at one end? (b) It is open at both ends?

View solution

Section 17.6: Hearing

Problem 55

The factor of 101210^{-12} in the range of intensities to which the ear can respond, from threshold to that causing damage after brief exposure, is truly remarkable. If you could measure distances over the same range with a single instrument and the smallest distance you could measure was 1 mm, what would the largest be?

View solution

Problem 56

The frequencies to which the ear responds vary by a factor of 10310^3 . Suppose the speedometer on your car measured speeds differing by the same factor of 10310^3, and the greatest speed it reads is 90.0 mi/h. What would be the slowest nonzero speed it could read?

View solution

Problem 57

What are the closest frequencies to 500 Hz that an average person can clearly distinguish as being different in frequency from 500 Hz? The sounds are not present simultaneously.

View solution

Problem 58

Can the average person tell that a 2002-Hz sound has a different frequency than a 1999-Hz sound without playing them simultaneously?

View solution

Problem 59

If your radio is producing an average sound intensity level of 85 dB, what is the next lowest sound intensity level that is clearly less intense?

View solution

Problem 61

Based on the graph in Figure 17.38, what is the threshold of hearing in decibels for frequencies of 60, 400, 1000, 4000, and 15,000 Hz? Note that many AC electrical appliances produce 60 Hz, music is commonly 400 Hz, a reference frequency is 1000 Hz, your maximum sensitivity is near 4000 Hz, and many older TVs produce a 15,750 Hz whine.

View solution

Problem 62

What sound intensity levels must sounds of frequencies 60, 3000, and 8000 Hz have in order to have the same loudness as a 40-dB sound of frequency 1000 Hz (that is, to have a loudness of 40 phons)?

View solution

Problem 63

What is the approximate sound intensity level in decibels of a 600-Hz tone if it has a loudness of 20 phons? If it has a loudness of 70 phons?

View solution

Problem 64

(a) What are the loudnesses in phons of sounds having frequencies of 200, 1000, 5000, and 10,000 Hz, if they are all at the same 60.0-dB sound intensity level? (b) If they are all at 110 dB? (c) If they are all at 20.0 dB?

View solution

Problem 65

Suppose a person has a 50-dB hearing loss at all frequencies. By how many factors of 10 will low-intensity sounds need to be amplified to seem normal to this person? Note that smaller amplification is appropriate for more intense sounds to avoid further hearing damage.

View solution

Problem 66

If a woman needs an amplification of 5.0×10125.0\times 10^{12} times the threshold intensity to enable her to hear at all frequencies, what is her overall hearing loss in dB? Note that smaller amplification is appropriate for more intense sounds to avoid further damage to her hearing from levels above 90 dB.

View solution

Problem 67

(a) What is the intensity in watts per meter squared of a just barely audible 200-Hz sound? (b) What is the intensity in watts per meter squared of a barely audible 4000-Hz sound?

View solution

Problem 68

(a) Find the intensity in watts per meter squared of a 60.0-Hz sound having a loudness of 60 phons. (b) Find the intensity in watts per meter squared of a 10,000-Hz sound having a loudness of 60 phons.

View solution

Problem 69

A person has a hearing threshold 10 dB above normal at 100 Hz and 50 dB above normal at 4000 Hz. How much more intense must a 100-Hz tone be than a 4000-Hz tone if they are both barely audible to this person?

View solution

Problem 70

A child has a hearing loss of 60 dB near 5000 Hz, due to noise exposure, and normal hearing elsewhere. How much more intense is a 5000-Hz tone than a 400-Hz tone if they are both barely audible to the child?

View solution

Problem 71

What is the ratio of intensities of two sounds of identical frequency if the first is just barely discernible as louder to a person than the second?

View solution

Section 17.7: Ultrasound

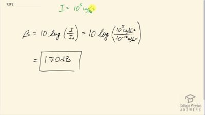
Problem 72

What is the sound intensity level in decibels of ultrasound of intensity 105 W/m210^5\textrm{ W/m}^2 , used to pulverize tissue during surgery?

View solution

Problem 73

Is 155-dB ultrasound in the range of intensities used for deep heating? Calculate the intensity of this ultrasound and compare this intensity with values quoted in the text.

View solution

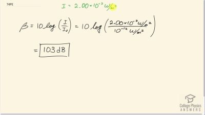
Problem 74

Find the sound intensity level in decibels of 2.00×102 W/m22.00\times 10^{-2}\textrm{ W/m}^2 ultrasound used in medical diagnostics.

View solution

Problem 75

The time delay between transmission and the arrival of the reflected wave of a signal using ultrasound traveling through a piece of fat tissue was 0.13 ms. At what depth did this reflection occur?

View solution

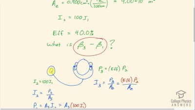
Problem 76

In the clinical use of ultrasound, transducers are always coupled to the skin by a thin layer of gel or oil, replacing the air that would otherwise exist between the transducer and the skin. (a) Using the values of acoustic impedance given in Table 17.5 calculate the intensity reflection coefficient between transducer material and air. (b) Calculate the intensity reflection coefficient between transducer material and gel (assuming for this problem that its acoustic impedance is identical to that of water). (c) Based on the results of your calculations, explain why the gel is used.

View solution

Problem 77

(a) Calculate the minimum frequency of ultrasound that will allow you to see details as small as 0.250 mm in human tissue. (b) What is the effective depth to which this sound is effective as a diagnostic probe?

View solution

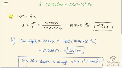
Problem 78

(a) Find the size of the smallest detail observable in human tissue with 20.0-MHz ultrasound. (b) Is its effective penetration depth great enough to examine the entire eye (about 3.00 cm is needed)? (c) What is the wavelength of such ultrasound in 0C0^\circ\textrm{C} air?

View solution

Problem 79

(a) Echo times are measured by diagnostic ultrasound scanners to determine distances to reflecting surfaces in a patient. What is the difference in echo times for tissues that are 3.50 and 3.60 cm beneath the surface? (This difference is the minimum resolving time for the scanner to see details as small as 0.100 cm, or 1.00 mm. Discrimination of smaller time differences is needed to see smaller details.) (b) Discuss whether the period TT of this ultrasound must be smaller than the minimum time resolution. If so, what is the minimum frequency of the ultrasound and is that out of the normal range for diagnostic ultrasound?

View solution

Problem 80

(a) How far apart are two layers of tissue that produce echoes having round-trip times (used to measure distances) that differ by 0.750 μs0.750\textrm{ }\mu\textrm{s}? (b) What minimum frequency must the ultrasound have to see detail this small?

View solution

Problem 81

(a) A bat uses ultrasound to find its way among trees. If this bat can detect echoes 1.00 ms apart, what minimum distance between objects can it detect? (b) Could this distance explain the difficulty that bats have finding an open door when they accidentally get into a house?

View solution

Problem 82

A dolphin is able to tell in the dark that the ultrasound echoes received from two sharks come from two different objects only if the sharks are separated by 3.50 m, one being that much farther away than the other. (a) If the ultrasound has a frequency of 100 kHz, show this ability is not limited by its wavelength. (b) If this ability is due to the dolphin’s ability to detect the arrival times of echoes, what is the minimum time difference the dolphin can perceive?

View solution

Problem 83

A diagnostic ultrasound echo is reflected from moving blood and returns with a frequency 500 Hz higher than its original 2.00 MHz. What is the velocity of the blood? (Assume that the frequency of 2.00 MHz is accurate to seven significant figures and 500 Hz is accurate to three significant figures.)

View solution

Problem 84

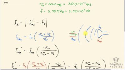
Ultrasound reflected from an oncoming bloodstream that is moving at 30.0 cm/s is mixed with the original frequency of 2.50 MHz to produce beats. What is the beat frequency? (Assume that the frequency of 2.50 MHz is accurate to seven significant figures.)

View solution

Test Prep for AP® Courses

Section 17.2: Speed of Sound, Frequency, and Wavelength

Problem 1 (AP)

A teacher wants to demonstrate that the speed of sound is not a constant valuConsidering her regular classroom voice as the control, which of the following will increase the speed of sound leaving her mouth?
  1. Submerge her mouth underwater and speak at the same volume.
  2. Increase the temperature of the room and speak at the same volume.
  3. Increase the pitch of her voice and speak at the same volume.
  1. I only
  2. I and II only
  3. I, II and III
  4. II and III
  5. III only

View solution

Problem 2 (AP)

All members of an orchestra begin tuning their instruments at the same time. While some woodwind instruments play high frequency notes, other stringed instruments play notes of lower frequency. Yet an audience member will hear all notes simultaneously, in apparent contrast to the equation. Explain how a student could demonstrate the flaw in the above logic, using a slinky, stopwatch, and meter stick. Make sure to explain what relationship is truly demonstrated in the above equation, in addition to what would be necessary to get the speed of the slinky to actually change. You may include diagrams and equations as part of your explanation.

View solution

Section 17.3: Sound Intensity and Sound Level

Problem 3 (AP)

In order to waken a sleeping child, the volume on an alarm clock is tripleUnder this new scenario, how much more energy will be striking the child’s ear drums each second?
  1. twice as much
  2. three times as much
  3. approximately 4.8 times as much
  4. six times as much
  5. nine times as much

View solution

Problem 4 (AP)

A musician strikes the strings of a guitar such that they vibrate with twice the amplitude.
  1. Explain why this requires an energy input greater than twice the original value.
  2. Explain why the sound leaving the string will not result in a decibel level that is twice as great.

View solution

Section 17.4: Doppler Effect and Sonic Booms

Problem 5 (AP)

A baggage handler stands on the edge of a runway as a landing plane approaches. Compared to the pitch of the plane as heard by the plane’s pilot, which of the following correctly describes the sensation experienced by the handler?
  1. The frequency of the plane will be lower pitched according to the baggage handler and will become even lower pitched as the plane slows to a stop.
  2. The frequency of the plane will be lower pitched according to the baggage handler but will increase in pitch as the plane slows to a stop.
  3. The frequency of the plane will be higher pitched according to the baggage handler but will decrease in pitch as the plane slows to a stop.
  4. The frequency of the plane will be higher pitched according to the baggage handler and will further increase in pitch as the plane slows to a stop.

View solution

Problem 6 (AP)

The following graph represents the perceived frequency of a car as it passes a student.
  1. If the true frequency of the car’s horn is 200 Hz, how fast was the car traveling?
  2. On the graph above, draw a line demonstrating the perceived frequency for a car traveling twice as fast. Label all intercepts, maximums, and minimums on the graph.

View solution

Section 17.5: Sound Interferrence and Resonance: Standing Waves in Air Columns

Problem 7 (AP)

A common misconception is that two wave pulses traveling in opposite directions will reflect off each other. Outline a procedure that you would use to convince someone that the two wave pulses do not reflect off each other, but instead travel through each other. You may use sketches to represent your understanding. Be sure to provide evidence to not only refute the original claim, but to support yours as well.

View solution

Problem 8 (AP)

Two wave pulses are traveling toward each other on a string, as shown below. Which of the following representations correctly shows the string as the two pulses overlap?

View solution

Problem 9 (AP)

A student sends a transverse wave pulse of amplitude A along a rope attached at one enAs the pulse returns to the student, a second pulse of amplitude 3A is sent along the opposite side of the ropWhat is the resulting amplitude when the two pulses interact?
  1. 4A
  2. A
  3. 2A, on the side of the original wave pulse
  4. 2A, on the side of the second wave pulse

View solution

Problem 10 (AP)

A student would like to demonstrate destructive interference using two sound sources. Explain how the student could set up this demonstration and what restrictions they would need to place upon their sources. Be sure to consider both the layout of space and the sounds created in your explanation.

View solution

Problem 11 (AP)

A student is shaking a flexible string attached to a wooden board in a rhythmic manner. Which of the following choices will decrease the wavelength within the rope?
  1. The student could shake her hand back and forth with greater frequency.
  2. The student could shake her hand back in forth with a greater amplitude.
  3. The student could increase the tension within the rope by stepping backwards from the board.
  1. I only
  2. I and II
  3. I and III
  4. II and III
  5. I, II, and III

View solution

Problem 12 (AP)

A ripple tank has two locations (L1 and L2) that vibrate in tandem as shown below. Both L1 and L2 vibrate in a plane perpendicular to the page, creating a two-dimensional interference pattern. Describe an experimental procedure to determine the speed of the waves created within the water, including all additional equipment that you would need. You may use the diagram below to help your description, or you may create one of your own. Include enough detail so that another student could carry out your experiment.

View solution

Problem 13 (AP)

A string is vibrating between two posts as shown abovStudents are to determine the speed of the wave within this string. They have already measured the amount of time necessary for the wave to oscillate up and down. The students must also take what other measurements to determine the speed of the wave?
  1. The distance between the two posts.
  2. The amplitude of the wave
  3. The tension in the string
  4. The amplitude of the wave and the tension in the string
  5. The distance between the two posts, the amplitude of
  6. the wave, and the tension in the string

View solution

Problem 14 (AP)

The accepted speed of sound in room temperature air is 346 m/s. Knowing that their school is colder than usual, a group of students is asked to determine the speed of sound in their room. They are permitted to use any materials necessary; however, their lab procedure must utilize standing wave patterns. The students collect the information Table 17.9.
  1. Describe an experimental procedure the group of students could have used to obtain this data. Include diagrams of the experimental setup and any equipment used in the process.
  2. Select a set of data points from the table and plot those points on a graph to determine the speed of sound within the classroom. Fill in the blank column in the table for any quantities you graph other than the given data. Label the axes and indicate the scale for each. Draw a best-fit line or curve through your data points.
  3. Using information from the graph, determine the speed of sound within the student’s classroom, and explain what characteristic of the graph provides this evidence.
  4. Determine the temperature of the classroom.

View solution

Problem 15 (AP)

A tube is open at one end. If the fundamental frequency f is created by a wavelength λ, then which of the following describes the frequency and wavelength associated with the tube’s fourth overtone?

View solution

Problem 16 (AP)

A group of students were tasked with collecting information about standing waves. Table 17.10 a series of their data, showing the length of an air column and a resonant frequency present when the column is struck.
  1. From their data, determine whether the air column was open or closed on each end.
  2. Predict the resonant frequency of the column at a length of 2.5 meters.

View solution

Problem 17 (AP)

When a student blows across a glass half-full of water, a resonant frequency is created within the air column remaining in the glass. Which of the following can the student do to increase this resonant frequency?
  1. Add more water to the glass.
  2. Replace the water with a more dense fluid.
  3. Increase the temperature of the room.
  1. I only
  2. I and III
  3. II and III
  4. all of the above

View solution

Problem 18 (AP)

A student decides to test the speed of sound through wood using a wooden ruler. The student rests the ruler on a desk with half of its length protruding off the desk edge. The student then holds one end in place and strikes the protruding end with his other hand, creating a musical sound, and counts the number of vibrations of the ruler. Explain why the student would not be able to measure the speed of sound through wood using this method.

View solution

Problem 19 (AP)

A musician stands outside in a field and plucks a string on an acoustic guitar. Standing waves will most likely occur in which of the following media? Select two answers.
  1. The guitar string
  2. The air inside the guitar
  3. The air surrounding the guitar
  4. The ground beneath the musician

View solution

Problem 20 (AP)

Figure 17.58 This figure shows two tubes that are identical except for their slightly different lengths. Both tubes have one open end and one closed end. A speaker connected to a variable frequency generator is placed in front of the tubes, as shown. The speaker is set to produce a note of very low frequency when turned on. The frequency is then slowly increased to produce resonances in the tubes. Students observe that at first only one of the tubes resonates at a time. Later, as the frequency gets very high, there are times when both tubes resonate.

View solution

Problem 21 (AP)

A student connects one end of a string with negligible mass to an oscillator. The other end of the string is passed over a pulley and attached to a suspended weight, as shown above. The student finds that a standing wave with one antinode is formed on the string when the frequency of the oscillator is f0. The student then moves the oscillator to shorten the horizontal segment of string to half its original length. At what frequency will a standing wave with one antinode now be formed on the string?
  1. fo2\dfrac{f_o}{2}
  2. fof_o
  3. 2fo2f_o
  4. There is no frequency at which a standing wave will be formed.

View solution

Problem 22 (AP)

A guitar string of length L is bound at both ends. Table 17.11 shows the string’s harmonic frequencies when struck.
  1. Based on the information above, what is the speed of the wave within the string?
  2. The guitarist then slides her finger along the neck of the guitar, changing the string length as a result. Calculate the fundamental frequency of the string and wave speed present if the string length is reduced to 23L\dfrac{2}{3}L.

View solution