Question
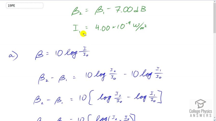
(a) What is the intensity of a sound that has a level 7.00 dB lower than a sound? (b) What is the intensity of a sound that is 3.00 dB higher than a sound?
Final Answer
Solution video
OpenStax College Physics for AP® Courses, Chapter 17, Problem 19 (Problems & Exercises)

vote with a rating of
votes with an average rating of
.
Calculator Screenshots
Video Transcript
This is College Physics Answers with Sean Dychko. We're given the intensity of one sound called first sound, which is four times ten to the minus nine watts per square meter. And we're told that the sound level of a different sound is seven decibels left, or less than the sound level of the first sound. And so our job is to figure out what is the intensity of the second sound. So, sound level is ten times logarithm of intensity divided by reference intensity. So, when you take the difference between two sounds, you're going ten times log of I two over I naught minus ten times log of I one over I naught. Now, we're going to do a little bit of algebra here. We'll factor out the common factor ten and write it outside with some brackets here. And then on the next line, we're going to use a log rule which says that when you're taking the difference between two logarithms that have the same base, you can divide the first argument by the second argument. And with different symbols, I would say that log A over B minus log C over D is the same as log A over B divided by C over D, which is the same as multiplying by the reciprocal of the second argument. So, this is the argument, this whole fraction, this thing that goes into the log function. Okay. And so here, we're going to take I two over I naught divided by I one over I naught. But instead of dividing a fraction by a fraction, which looks kind of messy, I'm going to instead multiply it by the reciprocal of the second fraction. So, I flipped over this I one over I naught, write it as I naught over I one, and the I naughts cancel. And we're left with the difference in sound levels, is ten times logarithm of I two divided by I one. And remember, sign is all for I two here. So, next step is to divide both sides by ten, and then write the unknown on the left, so we switch the sides around. So, we have the logarithm of I two over I one is beta two minus beta one all over ten. And then we'll make both of these sides powers of ten, which means on the left side, since the logarithm is base ten, you assume that nothing's written there, is I two over I one, and on the right hand side, it's ten to the power of the difference in sound levels over ten. And so, multiply the both sides by I one to solve for I two. And so intensity two is going to be intensity one times ten to the power of the difference in sound levels over ten. Now we know that sound level two is seven decibels less than sound level one, and we'll rearrange this to make it of this form, because that's what we want to substitute for. So we'll subtract beta one from both sides and we get beta two minus beta one is negative seven decibels. And so that's what we'll plug in for beta two minus beta one here in our formula. In intensity one, we were told is ten times ten to the minus nine watts per square meter, and so all of this works out to 7.98 times ten to the minus ten watts per square meter. Now, in part B, we're told that the beta two is three decibels more than beta one. And so we have this formula that we've derived and we'll use it again, so this formula here is copied here and now I'm writing three decibels positive instead of negative seven decibels. And so this works out to 7.98 times ten to the minus nine watts per meter.