Question
(a) What is the decibel level of a sound that is twice as intense as a 90.0-dB sound? (b) What is the decibel level of a sound that is one-fifth as intense as a 90.0-dB sound?
Final Answer
Solution video
OpenStax College Physics for AP® Courses, Chapter 17, Problem 18 (Problems & Exercises)

vote with a rating of
votes with an average rating of
.
Calculator Screenshots
Video Transcript
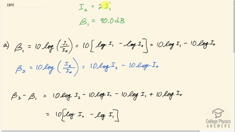
This is College Physics Answers with Shaun Dychko. We have a sound with a sound intensity level of 90.0 decibels and it has some intensity in watts per square meter I 1 and we are told that a second sound which has an intensity I 2 is twice the intensity of I 1. Now what is the sound intensity level then for this second sound so what is β 2 in other words? So β 1 is 10 times the logarithm of the first intensity divided by this reference intensity I naught which is the intensity in watts per square meter for the threshold of hearing. We can use the quotient rule to expand this logarithm into log of I 1 minus log of I naught and it's all being multiplied by 10 and then we distribute the 10 into the brackets and we have 10 log I 1 minus 10 log I naught so that's what β 1 is. Now the sound intensity level β 2 for the second sound is 10 times logarithm of I 2 over I naught which is by the same process 10 log I 2 minus 10 log I naught. Now we can take the difference between the two sound intensity levels— β 2 minus β 1— by also subtracting the right hand sides. So that's 10 log I 2 minus 10 log I naught minus this whole thing so that becomes minus 10 log I 1 and then—minus of a minus makes a plus— 10 log I naught and these make zero leaving us with 10 factored out log I 2 minus log I 1 and then using the quotient rule in the other direction, we can write this difference between two different logarithms as the logarithm of the quotient of the two arguments so log of I 2 over log I 1... sorry, log of I 2 over I 1 is the way to say it. Okay! So then we add β 1 to both sides and we get β 2 is β 1 plus 10 logarithm of I 2 divided by I 1. Now we know that I 2 is twice that of I 1 so we can write 2I 1 in place of I 2 and then the I 1's cancel and we are left with β 1 plus 10 logarithm of 2. So that's 90.0 decibels plus 10 log 2 which is 93.0 decibels. In part (b) we are asked what is the sound intensity level when there is one-fifth the intensity in the second sound? We'll use this same equation that we derived there... we'll use it here and we'll write β 1 plus 10 logarithm of one-fifth I 1 because that's the substitution now for I 2— it's now one-fifth the first intensity— divided by I 1, those cancel leaving us with β 1 plus 10 logarithm of a fifth. So 90.0 decibels plus 10 times logarithm of one-fifth is 83.0 decibels.