Question
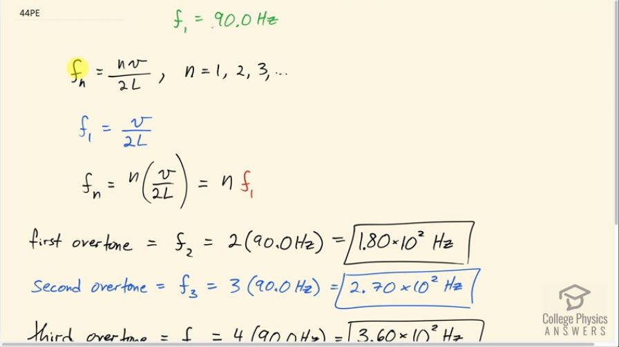
What are the first three overtones of a bassoon that has a fundamental frequency of 90.0 Hz? It is open at both ends. (The overtones of a real bassoon are more complex than this example, because its double reed makes it act more like a tube closed at one end.)
Final Answer
, ,
Solution video
OpenStax College Physics for AP® Courses, Chapter 17, Problem 44 (Problems & Exercises)

vote with a rating of
votes with an average rating of
.
Video Transcript
This is College Physics Answers with Shaun Dychko. The bassoon has a fundamental frequency of 90.0 hertz and we'll label that f 1 and here's a formula for the nth harmonic in a tube that's open at both ends— it's the harmonic that we are interested in n which is 1, 2, 3 and so on— times the speed of sound divided by 2 times the length of the tube. Now f 1 means we have a substitution of the number 1 in place of n in which case it becomes v over 2L. Now that means we can rewrite this formula for f n in terms of the fundamental so f n is n times bracket v over 2L which is the same as this but I wrote it with a bracket here around the v over the 2L just to emphasize that this thing can be substituted for with f 1 and so the nth harmonic is n times f 1. Now the first overtone is the second harmonic so the first overtone is the first harmonic that has a higher frequency than the fundamental which makes it f 2 and so it's going to be 2 times the fundamental which is 1.80 times 10 to the 2 hertz. The second overtone is f 3 so 3 times 90.0 is 2.70 times 10 to the 2 hertz and then the third overtone is the fourth harmonic and 4 times 90.0 is 3.60 times 10 to the 2 hertz.