Question
Ten cars in a circle at a boom box competition produce a 120-dB sound intensity level at the center of the circle. What is the average sound intensity level produced there by each stereo, assuming interference effects can be neglected?
Final Answer
Solution video
OpenStax College Physics for AP® Courses, Chapter 17, Problem 23 (Problems & Exercises)

vote with a rating of
votes with an average rating of
.
Video Transcript
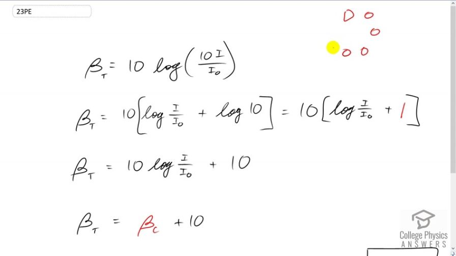
This is College Physics Answers with Shaun Dychko. We are going to find the sound intensity level of single car in this boom box competition where we have these ten cars in a circle and measuring the sound intensity and the sound level at the centre. One, two, three, four, five, six, seven, eight, nine, ten, okay. Now, the intensities of the sound produced by each car adds up at the centre but the intensity level do not and then now the total intensity level is going to be ten times logarithm of the total intensity which is the sum of each intensity from each car so this is intensity due to a single car here and then times by ten because its ten cars and then we divide that by reference intensity because that’s what the formula for sound level says to do. Now, We… What we want is to know the sound level of a single car and so we are gonna do some algebra on this in order to turn this into an equation that has a term which is this because that is the sound level of a single car ten times ten times log level of the single car divided by reference intensity. Keep it a subscript on the I here to say that its intensity due to a single car. Now, there is a log rule that says if you have logarithm of a product some number a times some number b that will equal, lets keep up to this here to make some room, that will equal the logarithm of the first factor plus the logarithm of the second factor. So, logarithm a time b is logarithm of a plus logarithm of b and so in this thing here the argument in by that I mean the thing in brackets that we are taking the logarithm of, is a product and you can say a is like the number ten and b is like this fraction I c over I naught and so we are going to go ten times the sum of the logs of the factors and choosing our factors to be I c over I naught on the one hand and then ten on the other hand. So, we have logarithm of I c over I naught plus logarithm of ten and all that gets multiplied by ten here. Now, there are some convenient things that happen for logarithm of ten which is this factor here is the number one because the base ten raise to the power one will make this argument ten and then we multiply through by ten here and we end up with this line which is that the total sound level is ten times logarithm of intensity of a single car divided by reference intensity plus ten and this is sound level of a single car and so we have the total sound level is the sound level of a single car plus ten and so to find the sound level of a single car we subtract ten from both sides and so total sound level minus ten moving you know the unknown to the left switching sides around. We have Beta c equals Beta t minus ten which is a 120 decibels, we are told as the total sound level, minus ten means a single car would have a sound level of 110 decibels.