Question
(a) How much more intense is a sound that has a level 17.0 dB higher than another? (b) If one sound has a level 23.0 dB less than another, what is the ratio of their intensities?
Final Answer
Solution video
OpenStax College Physics for AP® Courses, Chapter 17, Problem 20 (Problems & Exercises)

vote with a rating of
votes with an average rating of
.
Calculator Screenshots
Video Transcript
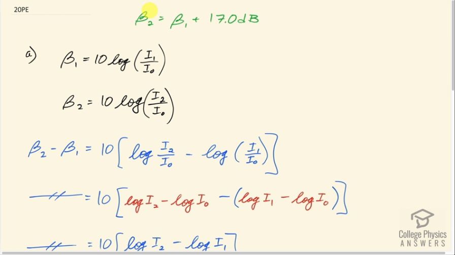
This is College Physics Answers with Shaun Dychko. We want to know what the ratio is of two different intensities that have two different sound levels. So the sound level of sound number two is 17.0 decibels more than the sound intensity level of sound number one. So the sound level of this first sound is 10 times the logarithm of the intensity of the first sound divided by some reference intensity which is the threshold of hearing and then the sound level of number two is 10 times logarithm of I 2 divided by I naught. Now to find an expression for the difference between the sound levels, we can subtract these two equations. So the left side will be β 2 minus β 1; now the right hand side, we can factor out the common factor 10 and write log of I 2 over I naught minus log of I 1 over I naught. Then we can use the quotient rule for logarithms to separate this log of a quotient into a difference between the logarithm of the top and the bottom. So we have log of I 2 minus log of < i>I naught and then this log of I 1 over I naught becomes log I 1 minus log I naught. Now this subtraction is outside this bracket here and so this log I naught becomes positive in the end which makes zero and you have this negative log I naught here and so this works out to log I 2 minus log I 1. I am gonna apply the quotient rule in the other direction and write this difference as the logarithm of a single quotient so logarithm of I 2 divided by I 1. And on the left hand side, we have just been copying down β 2 minus β 1 each time. Then divide both sides by 10 and this is you know... (maybe I should write it there) this is β 2 minus β 1 over here and it's being divided by 10 and then switch the sides around and we have log I 2 over I 1 equals β 2 minus β 1 all divided by 10. Then make both sides exponents of 10. So the purpose of the logarithm function is to say what exponent 10 would need in order to make the argument but if 10 is the base then raising it to that exponent by definition will mean you are left with the argument which is I 2 over I 1. And on the right hand side, we have 10 to the power of β 2 minus β 1 over 10. Now β 2 we are told is 17.0 more than β 1 so we substitute for β 2 here as β 1 plus 17.0 minus β 1 over 10; this works out to 10 to the power of 17 over 10 because the β 1's made zero there and so now I 2 over I 1 is 50.1. So this is our expression for finding the ratio of intensities given a difference in sound levels and so we can apply that same formula to part (b) where we are told that the sound intensity level of the second sound is 23.0 decibels less than the first so we have β 1 minus 23.0 is being substituted for β 2 now. So this makes 10 to the power of negative 23 over 10 which is 0.00501; that's the factor by which I 2 is less than I 1.