Question
(a) What is the final speed of an electron accelerated from rest through a voltage of 25.0 MV by a negatively charged Van de Graaff terminal?
(b) What is unreasonable about this result? (c) Which assumptions are responsible?
Final Answer
- The speed exceeds that of light, which is impossible.
- The false assumption is that the final speed would be non-relativistic. Equations that take relativity into account must be used.
Solution video
OpenStax College Physics, Chapter 19, Problem 35 (Problems & Exercises)

vote with a rating of
votes with an average rating of
.
Calculator Screenshots
Video Transcript
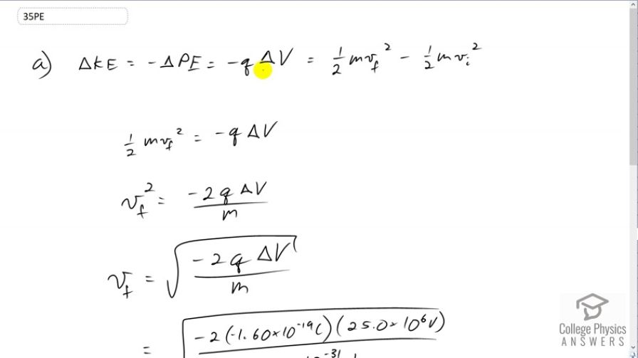
This is College Physics Answers with Shaun Dychko. The change in kinetic energy of this electron will be the opposite to its change in potential energy and change in potential energy will be the charge times potential difference through which it is accelerated and this change in kinetic energy is one half mass times v final squared minus one half mass times v initial squared, for this term its zero since it starts from rest and so we have one half m v f square equals negative q delta V. Now, we can solve for v f square by multiplying both sides by two over m and we get v f squared is negative two q delta V over m and then take the square root of both sides and we solve for v f so the final speed will be square root of two... negative two times q times potential difference divided by m. So, its square root of negative times negative 1.60 times ten to the minus 19 coulombs, the charge on the electron, times a change in potential of 25 times ten to the six volts and divide by the mass of an electron of 9.11 times ten to the minus 31 kilograms and we get a speed of 2.96 times ten to the nine meters per second, this exceeds the speed of light which is 3.0 times ten to the eight meters per second and so that is impossible and so that means this is wrong and the assumption we made with these formulas is that the final speed will be non-relativistic and... that assumption is false and so we need to have equations that do take relativity into account and there we go.