Question
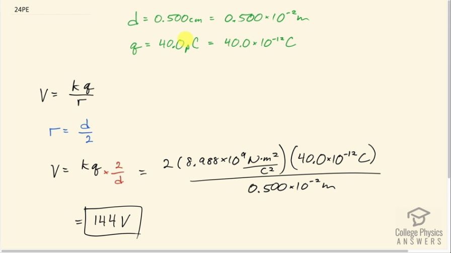
A 0.500 cm diameter plastic sphere, used in a static electricity demonstration, has a uniformly distributed 40.0 pC charge on its surface. What is the potential near its surface?
Final Answer
Solution video
OpenStax College Physics, Chapter 19, Problem 24 (Problems & Exercises)

vote with a rating of
votes with an average rating of
.
Calculator Screenshots
Video Transcript
This is College Physics Answers with Shaun Dychko. A 0.500 centimeter diameter sphere has a charge of 40.0 picocoulombs on its surface and we are asked what is the potential near the surface? And so we will take 'near the surface' to mean at the surface so we can imagine that all of this uniform distribution of charge on this sphere can be thought of as a point charge in the center and so this distance—the radius—will be the distance we use in our potential calculation. So the potential is Coulomb's constant times the charge divided by this distance from the point charge and the distance is going to be half the diameter so we substitute that in here by multiplying by the reciprocal of this because instead of dividing a fraction by a fraction, I like to multiply by its reciprocal instead. So we have the potential is 2 times Coulomb's constant times 40.0 times 10 to the minus 12 coulombs of charge divided by 0.500 times 10 to the minus 2 meters and that gives 144 volts.