Question
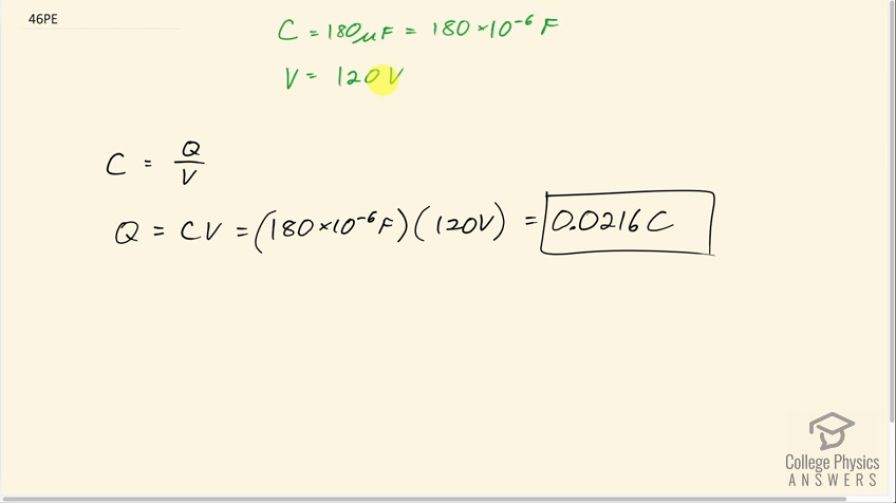
What charge is stored in a capacitor when 120 V is applied to it?
Final Answer
Solution video
OpenStax College Physics, Chapter 19, Problem 46 (Problems & Exercises)
vote with a rating of
votes with an average rating of
.
Calculator Screenshots
Video Transcript
This is College Physics Answers with Shaun Dychko. A 180 microfarad capacitor has 120 volts applied across it and the question is how much charge is stored on each plate of the capacitor? So capacitance is charge divided by voltage and we can multiply both sides by V to solve for Q. So Q—the charge stored in the capacitor—is the capacitance multiplied by the voltage. So it's 180 times 10 to the minus 6 farads times 120 volts which is 0.0216 coulombs.