Solution video
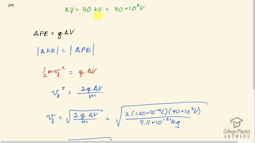
OpenStax College Physics, Chapter 19, Problem 2 (Problems & Exercises)

Calculator Screenshots
Comments
i came here to see how many electrons should i take. you took charge of only on electron. how do you know only 1 electron is involved ?
Hi qea, thank you for the question. Each electron accelerates through the same potential difference. If I understand your thinking, you might be implying that the potential difference is "diluted" by the number of charges, and you're wondering therefore how many charges to use in your calculation? Analogy might be helpful - consider a mass on a cliff that will accelerate through a potential difference after being dropped from the cliff. Each particle of matter accelerates through the same potential difference. You could even imagine that the mass is a bag of marbles just to clarify that the segments of mass are not "pulling each other down".
Since each electron is accelerating through the same potential difference we use only one electron in the calculation. You could use more than one electron if you wish, and you would just have to increase the mass in the denominator appropriately. You would still get the same answer. A single electron achieves the same speed as a collection of electrons in the same way that a single marble dropped from a cliff achieves the same final velocity as the bag of marbles.
Hope this helps,
Shaun
now i understand. every electrons goes through the same potential difference. thanks!