Question
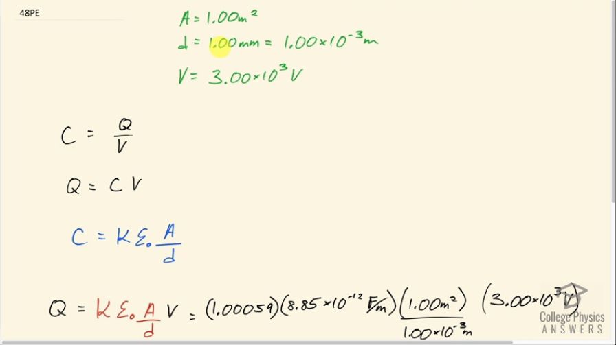
What charge is stored on a parallel plate capacitor with metal plates, each of area , separated by 1.00 mm, when is applied across it?
Final Answer
Solution video
OpenStax College Physics, Chapter 19, Problem 48 (Problems & Exercises)

vote with a rating of
votes with an average rating of
.
Calculator Screenshots
Video Transcript
This is College Physics Answers with Shaun Dychko. Given a parallel plate capacitor that has an area of 1.00 square meter and a separation between the plates of 1.00 millimeter and a voltage, applied across the plates, of 3.00 times 10 to the 3 volts, what is the charge stored in this capacitor? So capacitance is charge divided by voltage, I should say, and we'll multiply both sides by V to solve for Q and so Q is capacitance multiplied by voltage but we are not given the capacitance directly so we need to use this formula for the capacitance of a parallel-plate capacitor and that is this dielectric constant multiplied by the permittivity of free space multiplied by the area of the capacitor divided by the separation between the plates. So we can substitute all of this in for C— which I do in red here—and then we plug in numbers. So we assume that there's just air between the plates in which case the dielectric constant is 1.00059 although with the three significant figures that we will have in our answer, it's unnecessary to include this ...59 business over here, we can just use 1 which will be precise enough but in any case... there we go and multiply that by the permittivity of free space multiplied by the area divided by the separation between the plates in meters and multiply by the 3.00 kilovolts. This works out to 2.66 times 10 to the minus 5 coulombs.