Chapter 19

Chapter thumbnail
Automated external defibrillator unit (AED)

Chapter 19 : Electric Potential and Electric Field - all with Video Solutions

Problems & Exercises

Section 19.1: Electric Potential Energy: Potential Difference

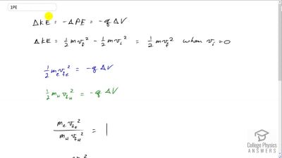
Problem 1

Find the ratio of speeds of an electron and a negative hydrogen ion (one having an extra electron) accelerated through the same voltage, assuming non-relativistic final speeds. Take the mass of the hydrogen ion to be 1.67×1027 kg1.67 \times 10^{-27} \textrm{ kg}.

View solution

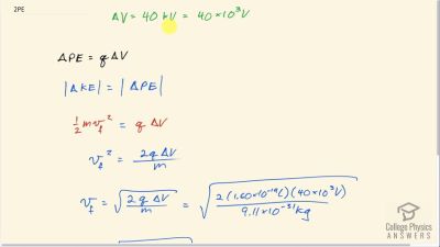
Problem 2

An evacuated tube uses an accelerating voltage of 40 kV to accelerate electrons to hit a copper plate and produce x rays. Non-relativistically, what would be the maximum speed of these electrons?

View solution

Problem 3

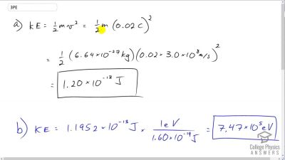
A bare helium nucleus has two positive charges and a mass of 6.64×1027 kg6.64 \times 10^{-27} \textrm{ kg} (a) Calculate its kinetic energy in joules at 2.00% of the speed of light. (b) What is this in electron volts? (c) What voltage would be needed to obtain this energy?

View solution

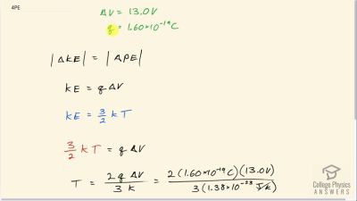
Problem 4

Singly charged gas ions are accelerated from rest through a voltage of 13.0 V. At what temperature will the average kinetic energy of gas molecules be the same as that given these ions?

View solution

Problem 5

The temperature near the center of the Sun is thought to be 15 million degrees Celsius (1.5×107 C1.5 \times 10^{7}\textrm{ }^\circ\textrm{C}). Through what voltage must a singly charged ion be accelerated to have the same energy as the average kinetic energy of ions at this temperature?

View solution

Problem 6

(a) What is the average power output of a heart defibrillator that dissipates 400 J of energy in 10.0 ms? (b) Considering the high-power output, why doesn’t the defibrillator produce serious burns?

View solution

Problem 7

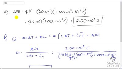
A lightning bolt strikes a tree, moving 20.0 C of charge through a potential difference of 1.00×102 MV1.00 \times 10^2 \textrm{ MV}. (a) What energy was dissipated? (b) What mass of water could be raised from 15C15^\circ\textrm{C} to the boiling point and then boiled by this energy? (c) Discuss the damage that could be caused to the tree by the expansion of the boiling steam.

View solution

Problem 8

A 12.0 V12.0\textrm{ V} battery operated bottle warmer heats 50.0 g of glass, 2.50×102 g2.50\times 10^{2}\textrm{ g} of baby formula, and 2.00×102 g2.00\times 10^{2}\textrm{ g} of aluminum from 20.0 C20.0^\circ\textrm{ C} to 90.0C90.0^\circ\textrm{C}. (a) How much charge is moved by the battery? (b) How many electrons per second flow if it takes 5.00 min to warm the formula? (Hint: Assume that the specific heat of baby formula is about the same as the specific heat of water.)

View solution

Problem 9

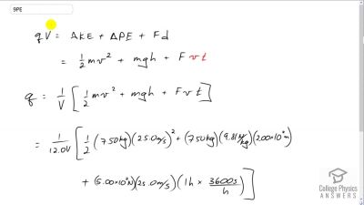
A battery-operated car utilizes a 12.0 V system. Find the charge the batteries must be able to move in order to accelerate the 750 kg car from rest to 25.0 m/s, make it climb a 2.00×102 m2.00 \times 10^2 \textrm{ m} high hill, and then cause it to travel at a constant 25.0 m/s by exerting a 5.00×102 N5.00 \times 10^2 \textrm{ N} force for an hour.

View solution

Problem 10

Fusion probability is greatly enhanced when appropriate nuclei are brought close together, but mutual Coulomb repulsion must be overcome. This can be done using the kinetic energy of high-temperature gas ions or by accelerating the nuclei toward one another. (a) Calculate the potential energy of two singly charged nuclei separated by 1.00×1012 m1.00\times 10^{-12}\textrm{ m} by finding the voltage of one at that distance and multiplying by the charge of the other. (b) At what temperature will atoms of a gas have an average kinetic energy equal to this needed electrical potential energy?

View solution

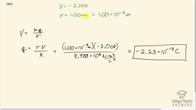
Problem 11

(a) Find the voltage near a 10.0 cm diameter metal sphere that has 8.00 C of excess positive charge on it. (b) What is unreasonable about this result? (c) Which assumptions are responsible?

View solution

Section 19.2: Electric Potential in a Uniform Electric Field

Problem 14

What is the strength of the electric field between two parallel conducting plates separated by 1.00 cm and having a potential difference (voltage) between them of 1.50×104 V1.50\times 10^{4}\textrm{ V}?

View solution

Problem 15

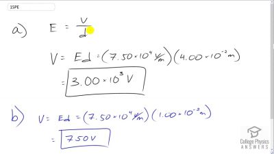
The electric field strength between two parallel conducting plates separated by 4.00 cm is 7.50×104 V/m7.50 \times 10^4 \textrm{ V/m}. (a) What is the potential difference between the plates? (b) The plate with the lowest potential is taken to be at zero volts. What is the potential 1.00 cm from that plate (and 3.00 cm from the other)?

View solution

Problem 16

How far apart are two conducting plates that have an electric field strength of 4.50×103 V/m4.50\times 10^{3}\textrm{ V/m} between them, if their potential difference is 15.0 kV?

View solution

Problem 17

(a) Will the electric field strength between two parallel conducting plates exceed the breakdown strength for air (3.0×106 V/m3.0 \times 10^6 \textrm{ V/m}) if the plates are separated by 2.00 mm and a potential difference of 5.0×103 V5.0 \times 10^3 \textrm{ V} is applied? (b) How close together can the plates be with this applied voltage?

View solution

Problem 18

The voltage across a membrane forming a cell wall is 80.0 mV and the membrane is 9.00 nm thick. What is the electric field strength? (The value is surprisingly large, but correct. Membranes are discussed in Capacitors and Dielectrics and Nerve Conduction—Electrocardiograms.) You may assume a uniform electric field.

View solution

Problem 19

Membrane walls of living cells have surprisingly large electric fields across them due to separation of ions. (Membranes are discussed in some detail in Nerve Conduction—Electrocardiograms.) What is the voltage across an 8.00 nm–thick membrane if the electric field strength across it is 5.50 MV/m? You may assume a uniform electric field.

View solution

Problem 20

Two parallel conducting plates are separated by 10.0 cm, and one of them is taken to be at zero volts. (a) What is the electric field strength between them, if the potential 8.00 cm from the zero volt plate (and 2.00 cm from the other) is 450 V? (b) What is the voltage between the plates?

View solution

Problem 21

Find the maximum potential difference between two parallel conducting plates separated by 0.500 cm of air, given the maximum sustainable electric field strength in air to be 3.0×106 V/m3.0 \times 10^6 \textrm{ V/m}

View solution

Problem 22

A doubly charged ion is accelerated to an energy of 32.0 keV by the electric field between two parallel conducting plates separated by 2.00 cm. What is the electric field strength between the plates?

View solution

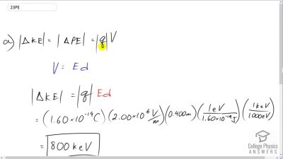
Problem 23

An electron is to be accelerated in a uniform electric field having a strength of 2.00×106 V/m2.00 \times 10^6 \textrm{ V/m}. (a) What energy in keV is given to the electron if it is accelerated through 0.400 m? (b) Over what distance would it have to be accelerated to increase its energy by 50.0 GeV?

View solution

Section 19.3: Electrical Potential Due to a Point Charge

Problem 24

A 0.500 cm diameter plastic sphere, used in a static electricity demonstration, has a uniformly distributed 40.0 pC charge on its surface. What is the potential near its surface?

View solution

Problem 25

What is the potential 0.530×1010 m0.530 \times 10^{-10} \textrm{ m} from a proton (the average distance between the proton and electron in a hydrogen atom)?

View solution

Problem 26

(a) A sphere has a surface uniformly charged with 1.00 C. At what distance from its center is the potential 5.00 MV? (b) What does your answer imply about the practical aspect of isolating such a large charge?

View solution

Problem 27

How far from a 1.00 μC1.00 \textrm{ }\mu\textrm{C} point charge will the potential be 100 V? At what distance will it be 2.00×102 V2.00 \times 10^2 \textrm{ V}?

View solution

Problem 29

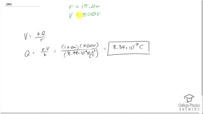
If the potential due to a point charge is 5.00×102 V5.00 \times 10^2 \textrm{ V} at a distance of 15.0 m, what are the sign and magnitude of the charge?

View solution

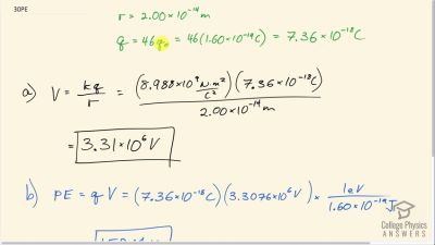
Problem 30

In nuclear fission, a nucleus splits roughly in half. (a) What is the potential 2.00×1014 m2.00\times 10^{-14}\textrm{ m} from a fragment that has 46 protons in it? (b) What is the potential energy in MeV of a similarly charged fragment at this distance?

View solution

Problem 31

A research Van de Graaff generator has a 2.00-m- diameter metal sphere with a charge of 5.00 mC on it. (a) What is the potential near its surface? (b) At what distance from its center is the potential 1.00 MV? (c) An oxygen atom with three missing electrons is released near the Van de Graaff generator. What is its energy in MeV at this distance?

View solution

Problem 32

An electrostatic paint sprayer has a 0.200-m-diameter metal sphere at a potential of 25.0 kV that repels paint droplets onto a grounded object. (a) What charge is on the sphere? (b) What charge must a 0.100-mg drop of paint have to arrive at the object with a speed of 10.0 m/s?

View solution

Problem 33

In one of the classic nuclear physics experiments at the beginning of the 20th century, an alpha particle was accelerated toward a gold nucleus, and its path was substantially deflected by the Coulomb interaction. If the energy of the doubly charged alpha nucleus was 5.00 MeV, how close to the gold nucleus (79 protons) could it come before being deflected?

View solution

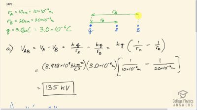
Problem 34

(a) What is the potential between two points situated 10 cm and 20 cm from a 3.0 μC3.0\textrm{ }\mu\textrm{C} point charge? (b) To what location should the point at 20 cm be moved to increase this potential difference by a factor of two?

View solution

Problem 35

(a) What is the final speed of an electron accelerated from rest through a voltage of 25.0 MV by a negatively charged Van de Graaff terminal? (b) What is unreasonable about this result? (c) Which assumptions are responsible?

View solution

Section 19.4: Equipotential Lines

Problem 36

(a) Sketch the equipotential lines near a point charge +q+q. Indicate the direction of increasing potential. (b) Do the same for a point charge 3q-3q.

View solution

Problem 37

Sketch the equipotential lines for the two equal positive charges shown in Figure 19.26. Indicate the direction of increasing potential.

View solution

Problem 38

Figure 19.34 shows the electric field lines near two charges q1q_1 and q2q_2 , the first having a magnitude four times that of the second. Sketch the equipotential lines for these two charges, and indicate the direction of increasing potential.

View solution

Problem 39

Sketch the equipotential lines a long distance from the charges shown in Figure 19.27. Indicate the direction of increasing potential.

View solution

Problem 40

Sketch the equipotential lines in the vicinity of two opposite charges, where the negative charge is three times as great in magnitude as the positive. See Figure 19.34 for a similar situation. Indicate the direction of increasing potential.

View solution

Problem 41

Sketch the equipotential lines in the vicinity of the negatively charged conductor in Figure 19.28. How will these equipotentials look a long distance from the object?

View solution

Problem 42

Sketch the equipotential lines surrounding the two conducting plates shown in Figure 19.36, given the top plate is positive and the bottom plate has an equal amount of negative charge. Be certain to indicate the distribution of charge on the plates. Is the field strongest where the plates are closest? Why should it be?

View solution

Problem 43

(a) Sketch the electric field lines in the vicinity of the charged insulator in Figure 19.30. Note its non-uniform charge distribution. (b) Sketch equipotential lines surrounding the insulator. Indicate the direction of increasing potential.

View solution

Problem 44

The naturally occurring charge on the ground on a fine day out in the open country is –1.00 nC/m2 . (a) What is the electric field relative to ground at a height of 3.00 m? (b) Calculate the electric potential at this height. (c) Sketch electric field and equipotential lines for this scenario.

View solution

Problem 45

The lesser electric ray (Narcine bancroftii) maintains an incredible charge on its head and a charge equal in magnitude but opposite in sign on its tail (Figure 19.31). (a) Sketch the equipotential lines surrounding the ray. (b) Sketch the equipotentials when the ray is near a ship with a conducting surface. (c) How could this charge distribution be of use to the ray?

View solution

Section 19.5: Capacitors and Dielectrics

Problem 48

What charge is stored on a parallel plate capacitor with metal plates, each of area 1.00 m21.00\textrm{ m}^2, separated by 1.00 mm, when 3.00×103 V3.00\times 10^{3}\textrm{ V} is applied across it?

View solution

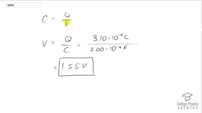
Problem 49

Calculate the voltage applied to a 2.00 μF2.00 \textrm{ }\mu\textrm{F} capacitor when it holds 3.10 μC3.10 \textrm{ }\mu\textrm{C} of charge.

View solution

Problem 52

What is the capacitance of a large Van de Graaff generator’s terminal, given that it stores 8.00 mC of charge at a voltage of 12.0 MV?

View solution

Problem 53

Find the capacitance of a parallel plate capacitor having plates of area 5.00 m25.00 \textrm{ m}^2 that are separated by 0.100 mm of Teflon.

View solution

Problem 54

(a) What is the capacitance of a parallel plate capacitor having plates of area 1.50 m21.50\textrm{ m}^2 that are separated by 0.0200 mm of neoprene rubber? (b) What charge does it hold when 9.00 V is applied to it?

View solution

Problem 55

A prankster applies 450 V to an 80.0 μF80.0 \textrm{ }\mu\textrm{F} capacitor and then tosses it to an unsuspecting victim. The victim’s finger is burned by the discharge of the capacitor through 0.200 g of flesh. What is the temperature increase of the flesh? Is it reasonable to assume no phase change?

View solution

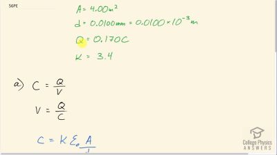
Problem 56

(a) A certain parallel plate capacitor has plates of area 4.00 m24.00\textrm{ m}^2, separated by 0.0100 mm of nylon, and stores 0.170 C of charge. What is the applied voltage? (b) What is unreasonable about this result? (c) Which assumptions are responsible or inconsistent?

View solution

Section 19.6: Capacitors in Series and Parallel

Problem 58

Suppose you want a capacitor bank with a total capacitance of 0.750 F and you possess numerous 1.50 mF capacitors. What is the smallest number you could hook together to achieve your goal, and how would you connect them?

View solution

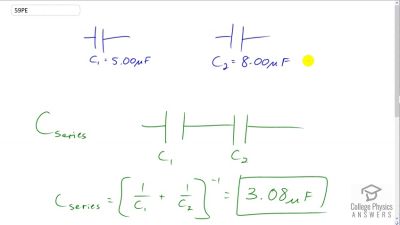
Problem 59

What total capacitances can you make by connecting a 5.00 μF5.00 \textrm{ }\mu\textrm{F} and an 8.00 μF8.00 \textrm{ }\mu\textrm{F} capacitor together?

View solution

Problem 62

(a) An 8.00 μF8.00\textrm{ }\mu\textrm{F} capacitor is connected in parallel to another capacitor, producing a total capacitance of 5.00 μF5.00\textrm{ }\mu\textrm{F} . What is the capacitance of the second capacitor? (b) What is unreasonable about this result? (c) Which assumptions are unreasonable or inconsistent?

View solution

Section 19.7: Energy Stored in Capacitors

Problem 63

(a) What is the energy stored in the 10.0 μF10.0\textrm{ }\mu\textrm{F} capacitor of a heart defibrillator charged to 9.00×103 V9.00 \times 10^3 \textrm{ V}? (b) Find the amount of stored charge.

View solution

Problem 64

In open heart surgery, a much smaller amount of energy will defibrillate the heart. (a) What voltage is applied to the 8.00 μF8.00\textrm{ }\mu\textrm{F} capacitor of a heart defibrillator that stores 40.0 J of energy? (b) Find the amount of stored charge.

View solution

Problem 65

A 165 μF165 \textrm{ }\mu\textrm{F} capacitor is used in conjunction with a motor. How much energy is stored in it when 119 V is applied?

View solution

Problem 66

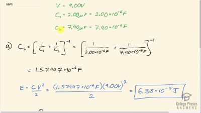
Suppose you have a 9.00 V battery, a 2.00 μF2.00\textrm{ }\mu\textrm{F} capacitor, and a 7.40 μF7.40\textrm{ }\mu\textrm{F} capacitor. (a) Find the charge and energy stored if the capacitors are connected to the battery in series. (b) Do the same for a parallel connection.

View solution

Problem 67

A nervous physicist worries that the two metal shelves of his wood frame bookcase might obtain a high voltage if charged by static electricity, perhaps produced by friction. (a) What is the capacitance of the empty shelves if they have area 1.00×102 m21.00 \times 10^2 \textrm{ m}^2 and are 0.200 m apart? (b) What is the voltage between them if opposite charges of magnitude 2.00 nC are placed on them? (c) To show that this voltage poses a small hazard, calculate the energy stored.

View solution

Problem 68

Show that for a given dielectric material the maximum energy a parallel plate capacitor can store is directly proportional to the volume of dielectric ( Volume=Ad\textrm{Volume} = A \cdot d). Note that the applied voltage is limited by the dielectric strength.

View solution

Problem 70

(a) On a particular day, it takes 9.60×103 J9.60\times 10^{3}\textrm{ J} of electric energy to start a truck’s engine. Calculate the capacitance of a capacitor that could store that amount of energy at 12.0 V. (b) What is unreasonable about this result? (c) Which assumptions are responsible?

View solution