Question
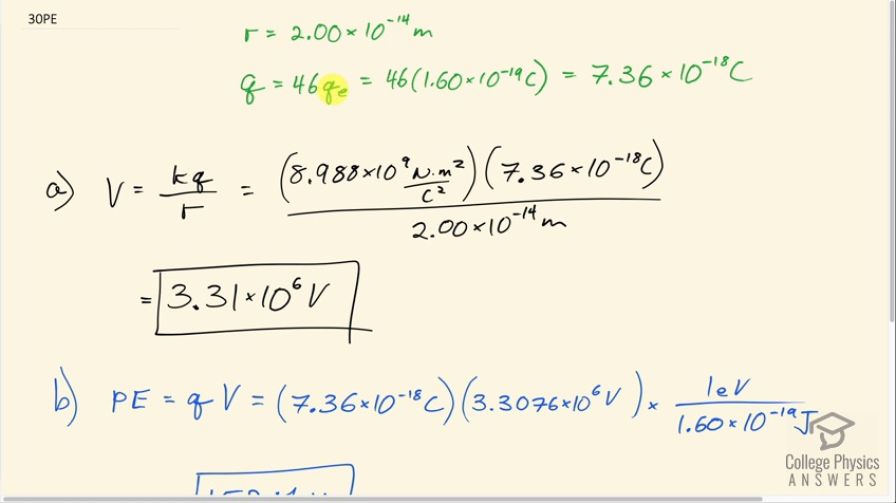
In nuclear fission, a nucleus splits roughly in half. (a) What is the potential from a fragment that has 46 protons in it? (b) What is the potential energy in MeV of a similarly charged fragment at this distance?
Final Answer
Solution video
OpenStax College Physics, Chapter 19, Problem 30 (Problems & Exercises)

vote with a rating of
votes with an average rating of
.
Calculator Screenshots
Video Transcript
This is College Physics Answers with Shaun Dychko. In nuclear fission, we imagine that there's a fission product that has a charge of 46 protons or 46 times the elementary charge which works out to 7.36 times 10 to the minus 18 coulombs and the question in part (a) is what is the potential at a distance 2.00 times 10 to the minus 14 meters away from this this little piece that's created by nuclear fission? So that's going to be Coulomb's constant times the charge divided by the distance and that works out to 3.31 times 10 to the 6 volts. Part (b) says that suppose another fission fragment of the same charge is at this position— 2.00 times 10 to the minus 14 meters away from the first piece— what would its potential energy be? So we'll take the charge that it has, which will be the same as the charge in part (a)— 7.36 times 10 to the minus 18 coulombs— and multiply it by the potential at that position, which we calculated in part (a), and then turn this into electron volts by multiplying by 1 electron volt for every 1.60 times 10 to the minus 19 joules this works out to 152 megaelectron volts.