Question
The temperature near the center of the Sun is thought to be 15 million degrees Celsius (). Through what voltage must a singly charged ion be accelerated to have the same energy as the average kinetic energy of ions at this temperature?
Final Answer
Solution video
OpenStax College Physics, Chapter 19, Problem 5 (Problems & Exercises)

vote with a rating of
votes with an average rating of
.
Calculator Screenshots
Video Transcript
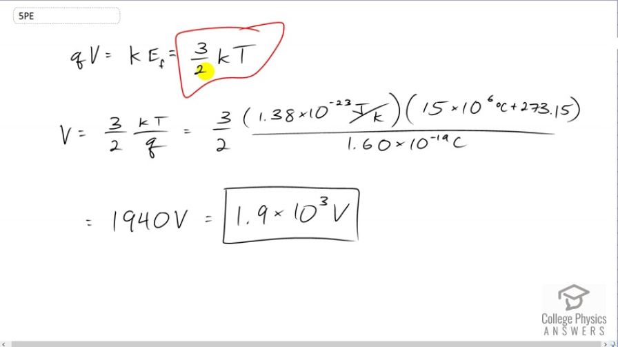
This is College Physics Answers with Shaun Dychko. In a previous chapter, we were given a formula for the average kinetic energy of a particle as a function of its temperature. That is three over two times Boltzmann's constant times the absolute temperature in Kelvin. And, we're asked in this question to figure out through what voltage must a singly charged ion be accelerated in order to have this kinetic energy. So, assuming that this particle starts from rest, Q times V is going to equal the final kinetic energy assuming that there is no initial kinetic energy, because change of potential energy is Q times potential difference. And, that's going to equal the change in kinetic energy, but the change in kinetic energy will equal the final kinetic energy, since there is no initial kinetic energy. And, we can divide both sides by Q, and we get V is three over two K T over Q. So, that's three over two times Boltzmann's constant, 1.38 times ten to the minus 23 Joules per Kelvin, times the temperature of the center of the sun, which is 15 million degrees Celsius converted into Kelvin by adding 273.15, although if you forget to do that, I think you'll actually get the same answer as I am to two significant figures, because this is such a big number and adding this will essentially not change it. And, we're going to divide by 1.60 times ten to the minus 19 Coulombs because it's a singly charged ion, we're told. And, this works out to 1.9 times ten to the three volts.