Question
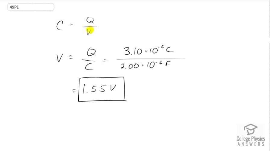
Calculate the voltage applied to a capacitor when it holds of charge.
Final Answer
Solution video
OpenStax College Physics, Chapter 19, Problem 49 (Problems & Exercises)

vote with a rating of
votes with an average rating of
.
Calculator Screenshots
Video Transcript
This is College Physics Answers with Shaun Dychko. Capacitance is the amount of charge accumulated divided by the voltage required to put that charge on the capacitor. And, we can solve for V by multiplying both sides by V over C. And then, you get the voltage then as the charge divided by the capacitance. So, 3.10 microCoulombs is 3.10 times ten to the minus six Coulombs, and then divide by two microfarads, which is two times ten the minus six farads, and we end up with 1.55 volts must have been applied to this capacitor to accumulate that amount of charge.