Question
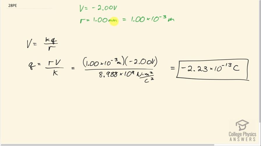
What are the sign and magnitude of a point charge that produces a potential of –2.00 V at a distance of 1.00 mm?
Final Answer
Solution video
OpenStax College Physics, Chapter 19, Problem 28 (Problems & Exercises)

vote with a rating of
votes with an average rating of
.
Calculator Screenshots
Video Transcript
This is College Physics Answers with Shaun Dychko. A charge creates a potential of negative 2.00 volts, 1.00 millimeter away and the question is, how much charge is there? So voltage from a point charge is Coulomb's constant times the charge divided by the distance from the charge and we can solve for q by multiplying both sides by r over k. And so the charge then is the distance from the charge times the voltage divided by Coulomb's constant. So that's 1.00 millimeter written as 1.00 times 10 to the minus 3 meters times negative 2.00 volts divided by Coulomb's constant and that's negative 2.23 times 10 to the minus 13 coulombs of charge.