Question
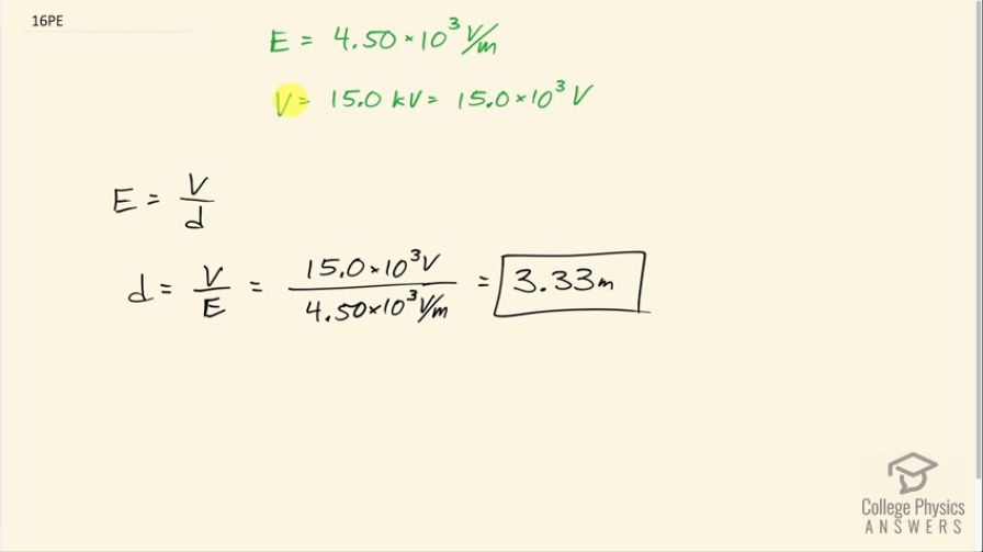
How far apart are two conducting plates that have an electric field strength of between them, if their potential difference is 15.0 kV?
Final Answer
Solution video
OpenStax College Physics, Chapter 19, Problem 16 (Problems & Exercises)

vote with a rating of
votes with an average rating of
.
Calculator Screenshots
Video Transcript
This is College Physics Answers with Shaun Dychko. Two parallel conducting plates have an electric field between them of 4.50 times 10 to the 3 volts per meter and a potential difference of 15.0 kilovolts, which is 15.0 times 10 to the 3 volts. Now electric field between two conducting parallel plates is the potential difference divided by the distance by which they are separated and we can solve for this separation d by multiplying both sides by d over E and so the separation is voltage divided by electric field and this works out to 3.33 meters.