Question
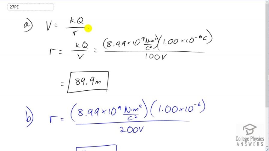
How far from a point charge will the potential be 100 V? At what distance will it be ?
Final Answer
Solution video
OpenStax College Physics, Chapter 19, Problem 27 (Problems & Exercises)

vote with a rating of
votes with an average rating of
.
Calculator Screenshots
Video Transcript
This is College Physics Answers with Shaun Dychko. The potential due to a point charge is Coulombs constant times the charge divided by the distance from it. And, we can solve for R by multiplying both sides by R over V. And on the left here, we have R and on the right hand, we K Q over V. So, that's 8.99 times ten to the nine Newton meters squared per Coulombs squared times 1.00 times ten to the minus six Coulombs divided by 100 volts, which is 89.9 meters. And then, if there's 200 hundred volts needed then the distance would have to be 45.0 meters.