Question
A battery operated bottle warmer heats 50.0 g of glass, of baby formula, and of aluminum from to . (a) How much charge is moved by the battery? (b) How many electrons per second flow if it takes 5.00 min to warm the formula? (Hint: Assume that the specific heat of baby formula is about the same as the specific heat of water.)
Final Answer
Solution video
OpenStax College Physics, Chapter 19, Problem 8 (Problems & Exercises)

vote with a rating of
votes with an average rating of
.
Calculator Screenshots
Video Transcript
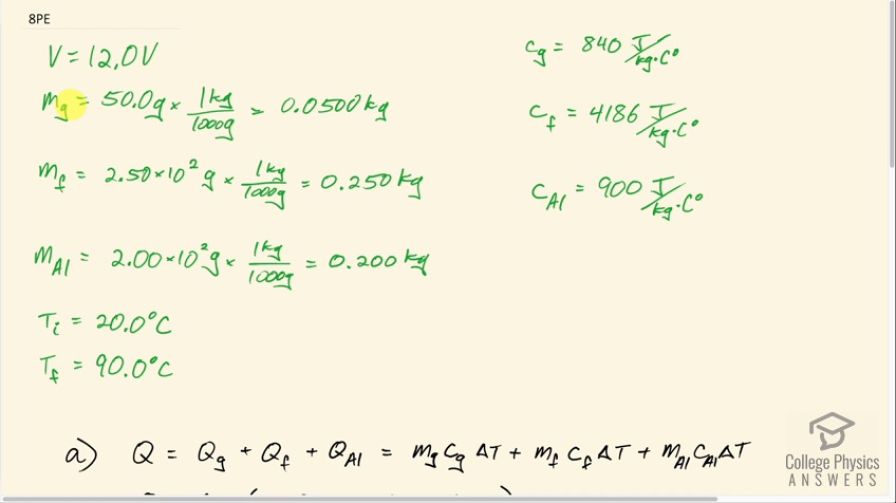
This is College Physics Answers with Shaun Dychko. A 12.0 volt battery-powered baby formula warmer is gonna be warming up 50.0 grams of glass with which the bottle is made plus the 2.50 times 10 to the 2 grams of formula in the bottle and then warming the 2.00 times 10 to the 2 grams of aluminum with which the bottle maker itself is made of I suppose and I have converted each of these masses into kilograms and the initial temperature is 20.0 degrees Celsius and the final temperature of all three of these things is 90.0 degrees Celsius. So to proceed with this question, we also want to know the specific heat's of these different materials are: glass, formula and aluminum and we are told that that of formula is the same as for water. So we look up each of these things here: we have the specific heat of glass is 840 joules per kilogram per Celsius degree— and this is table 14.1— and for formula, we have 4186 joules per kilogram per Celsius degree and for aluminum, it's 900. Okay! So question (a) asks us how much charge is moving through the circuit of this bottle warmer? So first of all, we'll figure out how much heat energy is going to be needed and that will be the heat that the glass requires plus the heat that the formula requires plus the heat that the aluminum requires and each of these can be found using the formula mass times specific heat times change in temperature. So we have mass of the glass times the specific heat of glass times the change in temperature of the glass, which does not get a subscript g on it because the glass's change in temperature is the same as the change in temperature of the formula inside which is also the same as the change in temperature of the aluminum. So there's no subscript on the ΔT which means it's a factor that can be factored out which we do in the second line here. So we have the heat energy required is the change in temperature times the product of mass times specific heat for each of these three materials. Now the potential energy that's lost by the battery which equals the amount of charge that flows times its voltage is gonna be supplying this heat energy to the ball and so we have qv equals all of this for Q and we can solve for q, which is the amount of charge that flows, by dividing both sides by the voltage. So the amount of charge that flows in coulombs is ΔT over V times all of these terms here and let's plug in some numbers. We have 90.0 degrees Celsius— final temperature—minus 20.0 degrees Celsius—initial temperature— and this difference gets divided by 12.0 volts multiplied by 0.0500 kilograms of glass times 840 joules per kilogram per Celsius degree plus 0.250 kilograms of formula multiplied by the specific heat of water plus 0.200 kilograms of aluminum multiplied by aluminum's specific heat and all this works out to 7.40 times 10 to the 3 coulombs. In part (b), we want to know how many electrons are flowing per second through the circuit and what we know here is the total number of coulombs that flow within the full amount of time period which is 5.00 minutes we are told. So the electrons per second is the number of electrons that flow divided by the total time and this many coulombs multiplied by 1 electron for every 1.60 times 10 to the minus 19 coulombs and divide that by the number of seconds which is 5.00 minutes multiplied by 60 seconds per minute, this works out to 1.54 times 10 to the 20 electrons per second and this is a stupendously large number and that's the number of electrons in only one second.