Question
(a) Write the decay equation for the α decay of . (b) What energy is released in this decay? The mass of the daughter nuclide is 231.036298 u. (c) Assuming the residual nucleus is formed in its ground state, how much energy goes to the particle?
Final Answer
- Please see the solution video.
Solution video
OpenStax College Physics for AP® Courses, Chapter 31, Problem 79 (Problems & Exercises)

vote with a rating of
votes with an average rating of
.
Calculator Screenshots
Video Transcript
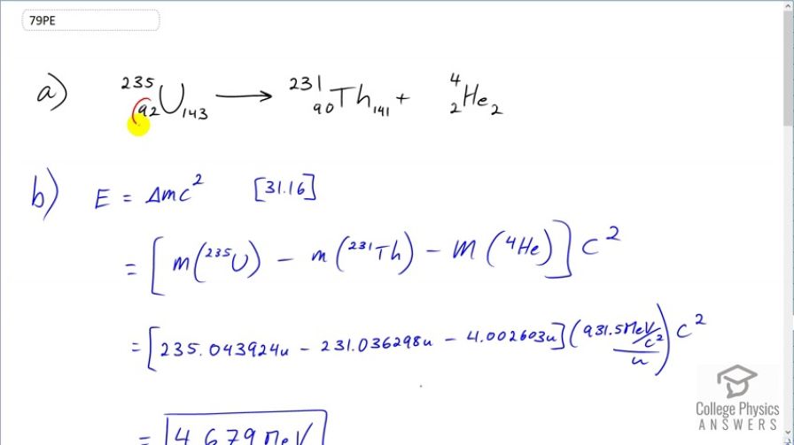
This is College Physics Answers with Shaun Dychko. The decay equation for uranium-235 is that it turns into thorium and an α-particle. So the number of protons is reduced by two so the atomic number goes from 92 to 90 and the number of neutrons is also reduced by two and those two protons and neutrons that come out of the uranium nucleus turn into a helium nucleus. Now the amount of energy released is equal to the change in mass times c squared and so we take the mass of uranium-235 minus the atomic mass of thorium-231 and then minus the atomic mass of helium-4. And here are all those numbers looked up in appendix A converted into megaelectron volts per c squared multiplied by c squared and then you get 4.679 megaelectron volts. Now all the energy released we will assume is kinetic energy and also we are going to assume non-relativistic speeds. And so part (c) asks us to figure out how much kinetic energy will go to the α-particle? Well we know that these particles start off as a single nucleus which is at rest, we'll say. And then when the decay happens, they must go off in opposite directions with equal magnitudes of momentum in order for the momentum to be conserved; initially, there's zero momentum when it's uranium-235 and so after the decay, there should also be a net zero momentum. So when you add these two momenta together momentum of the thorium plus momentum of the helium, it should equal zero. And this indicates that the speed of the thorium is a negative of the mass of the helium times the speed of the helium divided by the mass of thorium. That's just doing algebra on this equation to solve for speed of the thorium which we are interested in because we are going to square that speed and then substitute that in for thorium speed squared in this kinetic energy formula. So this says that the total kinetic energy of the thorium plus the kinetic energy of the helium has to equal the total energy released in the α-decay that we calculated before. And so we replace v Th squared with all of this and we do that here. So we have one-half mass of thorium times mass of helium squared times speed of helium squared divided by mass of thorium squared plus one-half mass of helium times speed of helium squared equals the energy released in the α-decay. Then our job here, by the way, is to figure out what the kinetic energy of the helium is and so what we want to know is one-half mass of helium times speed of helium squared. So we can cancel one of the thorium masses here and then factor out one-half and the mass of helium from both terms and speed of helium from both terms and we end up with one-half mass of helium times speed of helium squared times mass of helium divided by mass of thorium cause we are left with mass of helium to the power of 1 in this term when you factor out just one of the masses and we have mass of thorium to the power of 1 in the denominator there plus 1 because we just factored out this whole term and that equals the energy released in the α-decay. And then well all of this is the kinetic energy of the α-particle, which is the question. And so we are going to divide both sides by this bracket and we end up with the kinetic energy α-particle is the energy released from the α-decay divided by the ratio of masses plus 1. So we have 4.67892 megaelectron volts divided by the mass of helium divided by the mass of thorium plus 1 and that equals 4.599 megaelectron volts. So most of the energy released in the α-decay will go to the α-particle and just a little bit will be left over for the thorium.