Chapter 31

Chapter thumbnail
The synchrotron source produces electromagnetic radiation, as evident from the visible glow.

Chapter 31 : Radioactivity and Nuclear Physics - all with Video Solutions

Problems & Exercises

Section 31.2: Radiation Detection and Detectors

Problem 1

The energy of 30.0 eV is required to ionize a molecule of the gas inside a Geiger tube, thereby producing an ion pair. Suppose a particle of ionizing radiation deposits 0.500 MeV of energy in this Geiger tube. What maximum number of ion pairs can it create?

View solution

Problem 2

A particle of ionizing radiation creates 4000 ion pairs in the gas inside a Geiger tube as it passes through. What minimum energy was deposited, if 30.0 eV is required to create each ion pair?

View solution

Problem 3

(a) A particle of ionizing radiation creates 4000 ion pairs in the gas inside a Geiger tube as it passes through. What minimum energy was deposited, if 30.0 eV is required to create each ion pair? Convert the energy to joules or calories. (b) If all of this energy is converted to thermal energy in the gas, what is its temperature increase, assuming 50.0 cm350.0 \textrm{ cm}^3 of ideal gas at 0.250-atm pressure? (The small answer is consistent with the fact that the energy is large on a quantum mechanical scale but small on a macroscopic scale.)

View solution

Problem 4

Suppose a particle of ionizing radiation deposits 1.0 MeV in the gas of a Geiger tube, all of which goes to creating ion pairs. Each ion pair requires 30.0 eV of energy. (a) The applied voltage sweeps the ions out of the gas in 1.00 μs1.00\textrm{ }\mu\textrm{s}. What is the current? (b) This current is smaller than the actual current since the applied voltage in the Geiger tube accelerates the separated ions, which then create other ion pairs in subsequent collisions. What is the current if this last effect multiplies the number of ion pairs by 900?

View solution

Section 31.3: Substructure of the Nucleus

Problem 5

Verify that a 2.3×1017 kg2.3\times 10^{17} \textrm{ kg} mass of water at normal density would make a cube 60 km on a side, as claimed in Example 31.1. (This mass at nuclear density would make a cube 1.0 m on a side.)

View solution

Problem 6

Find the length of a side of a cube having a mass of 1.0 kg and the density of nuclear matter, taking this to be 2.3×1017 kg/m32.3\times 10^{17}\textrm{ kg/m}^3.

View solution

Problem 8

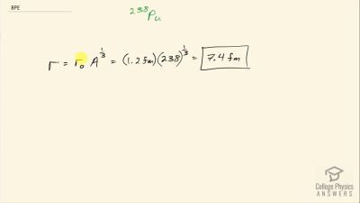
Find the radius of a 238Pu^{238}\textrm{Pu} nucleus. 238Pu^{238}\textrm{Pu} is a manufactured nuclide that is used as a power source on some space probes.

View solution

Problem 9

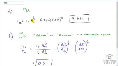
(a) Calculate the radius of 58Ni^{58}\textrm{Ni}, one of the most tightly bound stable nuclei. (b) What is the ratio of the radius of 58Ni^{58}\textrm{Ni} to that of 258Ha^{258}\textrm{Ha}, one of the largest nuclei ever made? Note that the radius of the largest nucleus is still much smaller than the size of an atom.

View solution

Problem 10

The unified atomic mass unit is defined to be 1 u=1.6605×1027 kg1 \textrm{ u} = 1.6605\times 10^{-27}\textrm{ kg}. Verify that this amount of mass converted to energy yields 931.5 MeV. Note that you must use four-digit or better values for cc and qe\lvert q_e \rvert.

View solution

Problem 11

What is the ratio of the velocity of a β\beta particle to that of an α\alpha particle, if they have the same nonrelativistic kinetic energy?

View solution

Problem 12

If a 1.50-cm-thick piece of lead can absorb 90.0% of the γ\gamma rays from a radioactive source, how many centimeters of lead are needed to absorb all but 0.100% of the γ\gamma rays?

View solution

Problem 13

The detail observable using a probe is limited by its wavelength. Calculate the energy of a γ\gamma-ray photon that has a wavelength of 1×1016 m1\times 10^{-16}\textrm{ m}, small enough to detect details about one-tenth the size of a nucleon. Note that a photon having this energy is difficult to produce and interacts poorly with the nucleus, limiting the practicability of this probe.

View solution

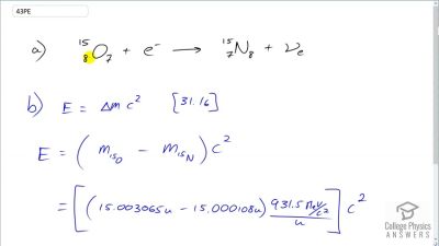
Problem 14

(a) Show that if you assume the average nucleus is spherical with a radius r=r0A1/3r = r_0 A^{1/3} , and with a mass of A uA\textrm{ u}, then its density is independent of AA. (b) Calculate that density in u/fm3\textrm{u/fm}^3 and kg/m3\textrm{kg/m}^3 , and compare your results with those found in Example 31.1 for 56Fe^{56}\textrm{Fe}.

View solution

Problem 15

What is the ratio of the velocity of a 5.00-MeV β\beta ray to that of an α\alpha particle with the same kinetic energy? This should confirm that β\betas travel much faster than α s even when relativity is taken into consideration.

View solution

Problem 16

(a) What is the kinetic energy in MeV of a β\beta ray that is traveling at 0.998c0.998c ? This gives some idea of how energetic a β\beta ray must be to travel at nearly the same speed as a γ\gamma ray. (b) What is the velocity of the γ\gamma ray relative to the β\beta ray?

View solution

Section 31.4: Nuclear Decay and Conservation Laws

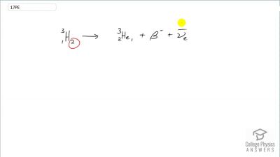
Problem 17

Write the complete decay equation for the given nuclide in the complete ZAXN^A_Z\textrm{X}_N notation. Refer to the periodic table for values of Z:
β\beta^- decay of 3H^3\textrm{H} (tritium), a manufactured isotope of hydrogen used in some digital watch displays, and manufactured primarily for use in hydrogen bombs.

View solution

Problem 18

Write the complete decay equation for the given nuclide in the complete ZAXN^\textrm{A}_\textrm{Z}\textrm{X}_\textrm{N} notation: β\beta^- decay of 40K^{40}\textrm{K}, a naturally occurring rare isotope of potassium responsible for some of our exposure to background radiation.

View solution

Problem 19

Write the complete decay equation for the given nuclide in the complete ZAXN^A_Z\textrm{X}_N notation. Refer to the periodic table for values of Z:
β+\beta^+ decay of 50Mn^{50}\textrm{Mn}

View solution

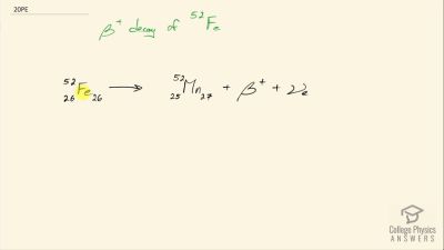
Problem 20

Write the complete decay equation for β+\beta^+ decay of 52Fe^{52}\textrm{Fe} in the complete ZAXN^\textrm{A}_\textrm{Z}\textrm{X}_\textrm{N} notation:

View solution

Problem 21

Write the complete decay equation for the given nuclide in the complete ZAXN^A_Z\textrm{X}_N notation. Refer to the periodic table for values of Z:
Electron capture by 7Be^7\textrm{Be}

View solution

Problem 22

Write the complete decay equation for electron capture by 106In^{106}\textrm{In} in the complete ZAXN^\textrm{A}_\textrm{Z}\textrm{X}_\textrm{N} notation.

View solution

Problem 23

Write the complete decay equation for the given nuclide in the complete ZAXN^A_Z\textrm{X}_N notation. Refer to the periodic table for values of Z:
α\alpha decay of 210Po^{210}\textrm{Po}, the isotope of polonium in the decay series of 238U^{238}\textrm{U} that was discovered by the Curies. A favorite isotope in physics labs, since it has a short half-life and decays to a stable nuclide.

View solution

Problem 24

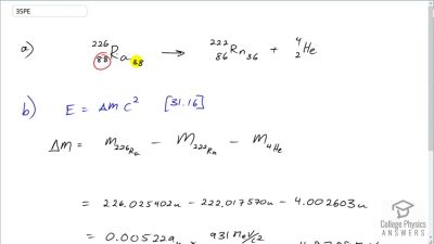
Write the complete decay equation for the given nuclide in the complete ZAXN^\textrm{A}_\textrm{Z}\textrm{X}_\textrm{N} notation: alphaalpha decay of 226Ra^{226}\textrm{Ra}, another isotope in the decay series of 238U^{238}\textrm{U}, first recognized as a new element by the Curies, poses special problems because its daughter is a radioactive noble gas.

View solution

Problem 25

Write the complete decay equation for the given nuclide in the complete ZAXN^A_Z\textrm{X}_N notation. Refer to the periodic table for values of Z:
β\beta^- decay producing 137Ba^{137}\textrm{Ba} . The parent nuclide is a major waste product of reactors and has chemistry similar to potassium and sodium, resulting in its concentration in your cells if ingested.

View solution

Problem 26

Identify the parent nuclide and write the complete decay equation in the ZAXN^\textrm{A}_\textrm{Z}\textrm{X}_\textrm{N} notation: β\beta^- decay producing 90Y^{90}\textrm{Y}. The parent nuclide is a major waste product of reactors and has chemistry similar to calcium, so that it is concentrated in bones if ingested (90Y^{90}\textrm{Y} is also radioactive.)

View solution

Problem 27

Write the complete decay equation for the given nuclide in the complete ZAXN^A_Z\textrm{X}_N notation. Refer to the periodic table for values of Z:
α\alpha decay producing 228Ra^{228}\textrm{Ra}. The parent nuclide is nearly 100% of the natural element and is found in gas lantern mantles and in metal alloys used in jets (228Ra^{228}\textrm{Ra} is also radioactive).

View solution

Problem 28

Identify the parent nuclide and write the complete decay equation in the ZAXN^\textrm{A}_\textrm{Z}\textrm{X}_\textrm{N} notation: α\alpha decay producing 208Pb^{208}\textrm{Pb}. The parent nuclide is in the decay series produced by 232Th^{232}\textrm{Th}, the only naturally occurring isotope of thorium.

View solution

Problem 29

When an electron and positron annihilate, both their masses are destroyed, creating two equal energy photons to preserve momentum. (a) Confirm that the annihilation equation e++eγ+γ\textrm{e}^+ + \textrm{e}^- \to \gamma + \gamma conserves charge, electron family number, and total number of nucleons. To do this, identify the values of each before and after the annihilation. (b) Find the energy of each γ\gamma ray, assuming the electron and positron are initially nearly at rest. (c) Explain why the two γ\gamma rays travel in exactly opposite directions if the center of mass of the electron-positron system is initially at rest.

View solution

Problem 30

Confirm that charge, electron family number, and the total number of nucleons are all conserved by the rule for α decay given in the equation ZAXNZ2A4YN2+24He2^\textrm{A}_\textrm{Z}\textrm{X}_\textrm{N} \to {}^{\textrm{A}-4}_{\textrm{Z}-2}\textrm{Y}_{\textrm{N}-2} + {}^4_2\textrm{He}_2. To do this, identify the values of each before and after the decay.

View solution

Problem 31

Confirm that charge, electron family number, and the total number of nucleons are all conserved by the rule for β\beta^- decay given in the equation ZAXNZ+1AYN1+β+νeˉ{}^A_Z\textrm{X}_N \to {}^A_{Z+1}\textrm{Y}_{N-1} + \beta^- + \bar{\nu_\textrm{e}}. To do this, identify the values of each before and after the decay.

View solution

Problem 32

Confirm that charge, electron family number, and the total number of nucleons are all conserved by the rule for β− decay given in the equation ZAXNZ1AYN+1+β++νe{}^\textrm{A}_\textrm{Z}\textrm{X}_\textrm{N} \to {}^\textrm{A}_{\textrm{Z}-1}\textrm{Y}_{\textrm{N}+1} + \beta^+ + \nu_e. To do this, identify the values of each before and after the decay.

View solution

Problem 33

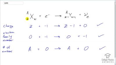
Confirm that charge, electron family number, and the total number of nucleons are all conserved by the rule for electron capture given in the equation ZAXN+eZ1AYN+1+νe^A_Z\textrm{X}_N + e^- \to ^A_{Z-1}\textrm{Y}_{N+1} + \nu_e. To do this, identify the values of each before and after the capture.

View solution

Problem 34

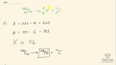
A rare decay mode has been observed in which 222Ra^{222}\textrm{Ra} emits a 14C^{14}\textrm{C} nucleus. (a) The decay equation is 222RaAX+14C{}^{222}\textrm{Ra} \to {}^{\textrm{A}}\textrm{X} + {}^{14}\textrm{C}. Identify the nuclide AX{}^\textrm{A}\textrm{X}. (b) Find the energy emitted in the decay. The mass of 222Ra{}^{222}\textrm{Ra} is 222.015353 u222.015353\textrm{ u}.

View solution

Problem 38

(a) Write the complete β\beta^- decay equation for 90Sr{}^{90}\textrm{Sr}, a major waste product of nuclear reactors. (b) Find the energy released in the decay.

View solution

Problem 39

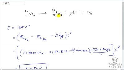
Calculate the energy released in the β+\beta^+ decay of 22Na^{22}\textrm{Na} , the equation for which is given in the text. The masses of 22Na^{22}\textrm{Na} and 22Ne^{22}\textrm{Ne} are 21.994434 u and 21.991383 u, respectively.

View solution

Problem 40

(a) Write the complete β+\beta^+ equation for 11C{}^{11}\textrm{C}. (b) Calculate the energy released in the decay. The masses of 11C{}^{11}\textrm{C} and 11B{}^{11}\textrm{B} are 11.011433 u11.011433\textrm{ u} and 11.009305 u11.009305\textrm{ u}, respectively.

View solution

Problem 41

(a) Calculate the energy released in the α\alpha decay of 238U^{238}\textrm{U} (b) What fraction of the mass of a single 238U^{238}\textrm{U} is destroyed in the decay? The mass of 234Th^{234}\textrm{Th} is 234.043593 u. (c) Although the fractional mass loss is large for a single nucleus, it is difficult to observe for an entire macroscopic sample of uranium. Why is this?

View solution

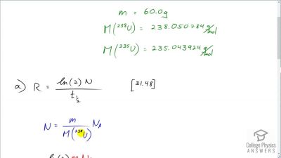
Section 31.5: Half-Life and Activity

Problem 44

An old campfire is uncovered during an archaeological dig. Its charcoal is found to contain less than 1/1000 the normal amount of 14C{}^{14}\textrm{C} . Estimate the minimum age of the charcoal, noting that 210=10242^{10}=1024.

View solution

Problem 45

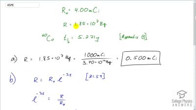
A 60Co^{60}\textrm{Co} source is labeled 4.00 mCi, but its present activity is found to be 1.85×107 Bq1.85\times 10^{7}\textrm{ Bq}. (a) What is the present activity in mCi? (b) How long ago did it actually have a 4.00-mCi activity?

View solution

Problem 46

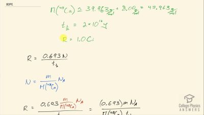
(a) Calculate the activity R in curies of 1.00 g of 226Ra{}^{226}\textrm{Ra}. (b) Discuss why your answer is not exactly 1.00 Ci, given that the curie was originally supposed to be exactly the activity of a gram of radium.

View solution

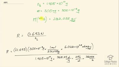
Problem 48

Mantles for gas lanterns contain thorium, because it forms an oxide that can survive being heated to incandescence for long periods of time. Natural thorium is almost 100% 232Th{}^{232}\textrm{Th}, with a half-life of 1.405×1010 y1.405\times 10^{10}\textrm{ y}. If an average lantern mantle contains 300 mg of thorium, what is its activity?

View solution

Problem 49

Cow’s milk produced near nuclear reactors can be tested for as little as 1.00 pCi of 131I^{131}\textrm{I} per liter, to check for possible reactor leakage. What mass of 131I^{131}\textrm{I} has this activity?

View solution

Problem 50

(a) Natural potassium contains 40K{}^{40}\textrm{K} , which has a half-life of 1.277×109 y1.277\times 10^{9}\textrm{ y}. What mass of 40K{}^{40}\textrm{K} in a person would have a decay rate of 4140 Bq? (b) What is the fraction of 40K{}^{40}\textrm{K} in natural potassium, given that the person has 140 g in his body? (These numbers are typical for a 70-kg adult.)

View solution

Problem 51

There is more than one isotope of natural uranium. If a researcher isolates 1.00 mg of the relatively scarce 235U^{235}\textrm{U} and finds this mass to have an activity of 80.0 Bq, what is its half-life in years?

View solution

Problem 52

50V{}^{50}\textrm{V} has one of the longest known radioactive half-lives. In a difficult experiment, a researcher found that the activity of 1.00 kg of 50V{}^{50}\textrm{V} is 1.75 Bq. What is the half-life in years?

View solution

Problem 53

You can sometimes find deep red crystal vases in antique stores, called uranium glass because their color was produced by doping the glass with uranium. Look up the natural isotopes of uranium and their half-lives, and calculate the activity of such a vase assuming it has 2.00 g of uranium in it. Neglect the activity of any daughter nuclides.

View solution

Problem 54

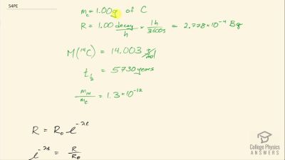
A tree falls in a forest. How many years must pass before the 14C{}^{14}\textrm{C} activity in 1.00 g of the tree’s carbon drops to 1.00 decay per hour?

View solution

Problem 55

What fraction of the 40K^{40}\textrm{K} that was on Earth when it formed 4.5×1094.5\times 10^{9} years ago is left today?

View solution

Problem 56

A 5000-Ci 60Co{}^{60}\textrm{Co} source used for cancer therapy is considered too weak to be useful when its activity falls to 3500 Ci. How long after its manufacture does this happen?

View solution

Problem 57

Natural uranium is 0.7200% 235U^{235}\textrm{U} and 99.27% 238U^{238}\textrm{U} . What were the percentages of 235U^{235}\textrm{U} and 238U^{238}\textrm{U} in natural uranium when Earth formed 4.5×1094.5\times 10^{9} years ago?

View solution

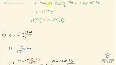
Problem 58

The β\beta^- particles emitted in the decay of 3H{}^3\textrm{H} (tritium) interact with matter to create light in a glow-in-the-dark exit sign. At the time of manufacture, such a sign contains 15.0 Ci of 3H{}^3\textrm{H}. (a) What is the mass of the tritium? (b) What is its activity 5.00 y after manufacture?

View solution

Problem 59

World War II aircraft had instruments with glowing radium- painted dials (see Figure 31.2). The activity of one such instrument was 1.0×105 Bq1.0\times 10^{5}\textrm{ Bq} when new. (a) What mass of 226Ra^{226}\textrm{Ra} was present? (b) After some years, the phosphors on the dials deteriorated chemically, but the radium did not escape. What is the activity of this instrument 57.0 years after it was made?

View solution

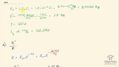
Problem 60

(a) The 210Po{}^{210}\textrm{Po} source used in a physics laboratory is labeled as having an activity of 1.0 μCi1.0\textrm{ }\mu\textrm{Ci} on the date it was prepared. A student measures the radioactivity of this source with a Geiger counter and observes 1500 counts per minute. She notices that the source was prepared 120 days before her lab. What fraction of the decays is she observing with her apparatus? (b) Identify some of the reasons that only a fraction of the α s emitted are observed by the detector.

View solution

Problem 61

Armor-piercing shells with depleted uranium cores are fired by aircraft at tanks. (The high density of the uranium makes them effective.) The uranium is called depleted because it has had its 235U^{235}\textrm{U} removed for reactor use and is nearly pure 238U^{238}\textrm{U}. Depleted uranium has been erroneously called non-radioactive. To demonstrate that this is wrong: (a) Calculate the activity of 60.0 g of pure 238U^{238}\textrm{U}. (b) Calculate the activity of 60.0 g of natural uranium, neglecting the 234U^{234}\textrm{U} and all daughter nuclides.

View solution

Problem 62

The ceramic glaze on a red-orange Fiestaware plate is U2O3\textrm{U}_2\textrm{O}_3 and contains 50.0 grams of 238U{}^{238}\textrm{U}, but very little 235U{}^{235}\textrm{U}. (a) What is the activity of the plate? (b) Calculate the total energy that will be released by the 238U{}^{238}\textrm{U} decay. (c) If energy is worth 12.0 cents per kWh\textrm{kW}\cdot\textrm{h}, what is the monetary value of the energy emitted? (These plates went out of production some 30 years ago, but are still available as collectibles.)

View solution

Problem 63

Large amounts of depleted uranium (238U^{238}\textrm{U}) are available as a by-product of uranium processing for reactor fuel and weapons. Uranium is very dense and makes good counter weights for aircraft. Suppose you have a 4000-kg block of 238U^{238}\textrm{U}. (a) Find its activity. (b) How many calories per day are generated by thermalization of the decay energy? (c) Do you think you could detect this as heat? Explain.

View solution

Problem 64

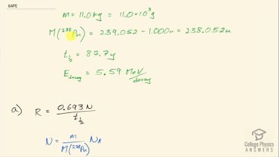
The Galileo space probe was launched on its long journey past several planets in 1989, with an ultimate goal of Jupiter. Its power source is 11.0 kg of 238Pu{}^{238}\textrm{Pu} , a by-product of nuclear weapons plutonium production. Electrical energy is generated thermoelectrically from the heat produced when the 5.59-MeV α\alpha particles emitted in each decay crash to a halt inside the plutonium and its shielding. The half-life of 238Pu{}^{238}\textrm{Pu} is 87.7 years. (a) What was the original activity of the 238Pu{}^{238}\textrm{Pu} in becquerel? (b) What power was emitted in kilowatts? (c) What power was emitted 12.0 y after launch? You may neglect any extra energy from daughter nuclides and any losses from escaping γ\gamma rays.

View solution

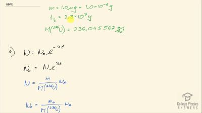
Problem 66

A nuclear physicist find 1.0 μg1.0\textrm{ }\mu\textrm{g} of 236U{}^{236}\textrm{U} in a piece of uranium ore and assumes it is primordial since its half-life is 2.3×107 y2.3\times 10^{7}\textrm{ y}. (a) Calculate the amount of 236U{}^{236}\textrm{U} that would had to have been on Earth when it formed 4.5×109 y4.5\times 10^{9}\textrm{ y} ago for 1.0 μg1.0 \textrm{ }\mu\textrm{g} to be left today. (b) What is unreasonable about this result? (c) What assumption is responsible?

View solution

Problem 67

Natural uranium is 0.7200% 235U^{235}\textrm{U}, 99.27% 238U^{238}\textrm{U}, and 0.0055% 234U^{234}\textrm{U}. (a) What were the percentages of 235U^{235}\textrm{U}, 238U^{238}\textrm{U}, and 234U^{234}\textrm{U} in natural uranium when Earth formed 4.5×1094.5\times 10^{9} years ago? (b) What is unreasonable about this result? (c) What assumption is responsible? (d) Where does 234U^{234}\textrm{U} come from if it is not primordial?

View solution

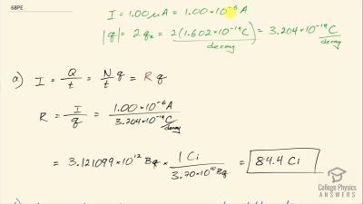
Problem 68

The manufacturer of a smoke alarm decides that the smallest current of α\alpha radiation he can detect is 1.00 μA1.00\textrm{ }\mu\textrm{A} . (a) Find the activity in curies of an α\alpha emitter that produces a 1.00 μA1.00\textrm{ }\mu\textrm{A} current of α\alpha particles. (b) What is unreasonable about this result? (c) What assumption is responsible?

View solution

Section 31.6: Binding Energy

Problem 69

2H^2\textrm{H} is a loosely bound isotope of hydrogen. Called deuterium or heavy hydrogen, it is stable but relatively rare—it is 0.015% of natural hydrogen. Note that deuterium has Z = N , which should tend to make it more tightly bound, but both are odd numbers. Calculate BE/A , the binding energy per nucleon, for 2H^2H and compare it with the approximate value obtained from the graph in Figure 31.27.

View solution

Problem 70

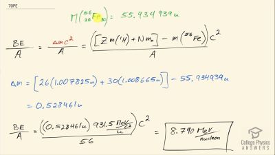
56Fe{}^{56}\textrm{Fe} is among the most tightly bound of all nuclides. It is more than 90% of natural iron. Note that 56Fe{}^{56}\textrm{Fe} has even numbers of both protons and neutrons. Calculate BEA\dfrac{\textrm{BE}}{\textrm{A}} , the binding energy per nucleon, for 56Fe{}^{56}\textrm{Fe} and compare it with the approximate value obtained from the graph in Figure 31.27.

View solution

Problem 71

209Bi^{209}\textrm{Bi} is the heaviest stable nuclide, and its BE / A is low compared with medium-mass nuclides. Calculate BE/A , the binding energy per nucleon, for 209Bi^{209}\textrm{Bi} and compare it with the approximate value obtained from the graph in Figure 31.27.

View solution

Problem 72

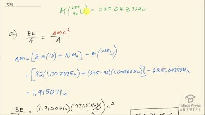
(a) Calculate BEA\dfrac{\textrm{BE}}{\textrm{A}} for 235U{}^{235}\textrm{U} , the rarer of the two most common uranium isotopes. (b) Calculate BE / A for 238U{}^{238}\textrm{U}. (Most of uranium is 238U{}^{238}\textrm{U}.) Note that 238U{}^{238}\textrm{U} has even numbers of both protons and neutrons. Is the BEA\dfrac{\textrm{BE}}{\textrm{A}} of 238U{}^{238}\textrm{U} significantly different from that of 235U{}^{235}\textrm{U} ?

View solution

Problem 73

(a) Calculate BE / A for 12C^{12}\textrm{C}. Stable and relatively tightly bound, this nuclide is most of natural carbon. (b) Calculate BE / A for 14C^{14}\textrm{C}. Is the difference in BE / A between 12C^{12}\textrm{C} and 14C^{14}\textrm{C} significant? One is stable and common, and the other is unstable and rare.

View solution

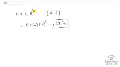
Problem 74

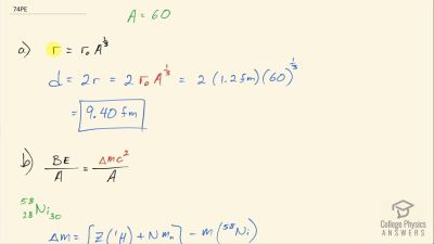
The fact that BE / A is greatest for AA near 60 implies that the range of the nuclear force is about the diameter of such nuclides. (a) Calculate the diameter of an A=60A = 60 nucleus. (b) Compare BE / A for 58Ni{}^{58}\textrm{Ni} and 90Sr{}^{90}\textrm{Sr} . The first is one of the most tightly bound nuclides, while the second is larger and less tightly bound.

View solution

Problem 75

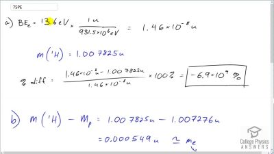
The purpose of this problem is to show in three ways that the binding energy of the electron in a hydrogen atom is negligible compared with the masses of the proton and electron. (a) Calculate the mass equivalent in u of the 13.6-eV binding energy of an electron in a hydrogen atom, and compare this with the mass of the hydrogen atom obtained from Appendix A. (b) Subtract the mass of the proton given in Table 31.2 from the mass of the hydrogen atom given in Appendix A. You will find the difference is equal to the electron’s mass to three digits, implying the binding energy is small in comparison. (c) Take the ratio of the binding energy of the electron (13.6 eV) to the energy equivalent of the electron’s mass (0.511 MeV). (d) Discuss how your answers confirm the stated purpose of this problem.

View solution

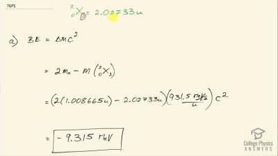
Problem 76

A particle physicist discovers a neutral particle with a mass of 2.02733 u that he assumes is two neutrons bound together. (a) Find the binding energy. (b) What is unreasonable about this result? (c) What assumptions are unreasonable or inconsistent?

View solution

Section 31.7: Tunneling

Problem 77

Derive an approximate relationship between the energy of α\alpha decay and half-life using the following data. It may be useful to graph the log of t1/2t_{1/2} against EαE_\alpha to find some straight-line relationship.
Nuclide EαE_\alpha (MeV) t1/2t_{1/2}
216Ra^{216}\textrm{Ra} 9.5 0.18 μs\mu\textrm{s}
194Po^{194}\textrm{Po} 7.0 0.7 s
240Cm^{240}\textrm{Cm} 6.4 27 d
236Ra^{236}\textrm{Ra} 4.91 1600 y
232Th^{232}\textrm{Th} 4.1 1.4×1010 y1.4 \times 10^{10}\textrm{ y}

View solution

Problem 78

A 2.00-T magnetic field is applied perpendicular to the path of charged particles in a bubble chamber. What is the radius of curvature of the path of a 10 MeV proton in this field? Neglect any slowing along its path.

View solution

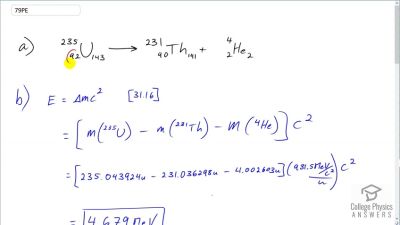
Problem 79

(a) Write the decay equation for the α decay of 235U^{235}\textrm{U}. (b) What energy is released in this decay? The mass of the daughter nuclide is 231.036298 u. (c) Assuming the residual nucleus is formed in its ground state, how much energy goes to the α\alpha particle?

View solution

Problem 80

The relatively scarce naturally occurring calcium isotope 48Ca{}^{48}\textrm{Ca} has a half-life of about 2×1016 y2\times 10^{16}\textrm{ y}. (a) A small sample of this isotope is labeled as having an activity of 1.0 Ci. What is the mass of the 48Ca{}^{48}\textrm{Ca} in the sample? (b) What is unreasonable about this result? (c) What assumption is responsible?

View solution

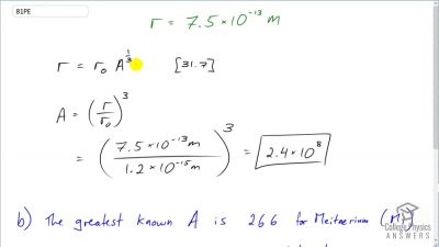
Problem 81

A physicist scatters γ\gamma rays from a substance and sees evidence of a nucleus 7.5×1013 m7.5\times 10^{-13}\textrm{ m} in radius. (a) Find the atomic mass of such a nucleus. (b) What is unreasonable about this result? (c) What is unreasonable about the assumption?

View solution

Problem 82

A frazzled theoretical physicist reckons that all conservation laws are obeyed in the decay of a proton into a neutron, positron, and neutrino (as in β+\beta^+ decay of a nucleus) and sends a paper to a journal to announce the reaction as a possible end of the universe due to the spontaneous decay of protons. (a) What energy is released in this decay? (b) What is unreasonable about this result? (c) What assumption is responsible?

View solution

Test Prep for AP® Courses

Section 31.1: Nuclear Radioactivity

Problem 1 (AP)

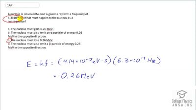
A nucleus is observed to emit a γ ray with a frequency of 6.3×1019 Hz6.3\times 10^{19}\textrm{ Hz}. What must happen to the nucleus as a consequence?
  1. The nucleus must gain 0.26 MeV.
  2. The nucleus must also emit an α particle of energy 0.26 MeV in the opposite direction.
  3. The nucleus must lose 0.26 MeV.
  4. The nucleus must also emit a β particle of energy 0.26 MeV in the opposite direction.

View solution

Section 31.3: Substructure of the Nucleus

Problem 3 (AP)

A typical carbon nucleus contains 6 neutrons and 6 protons. The 6 protons are all positively charged and in very close proximity, with separations on the order of 101510^{-15} meters, which should result in an enormous repulsive force. What prevents the nucleus from dismantling itself due to the repulsion of the electric force?
  1. The attractive nature of the strong nuclear force overpowers the electric force.
  2. The weak nuclear force barely offsets the electric force.
  3. Magnetic forces generated by the orbiting electrons create a stable minimum in which the nuclear charged particles reside.
  4. The attractive electric force of the surrounding electrons is equal in all directions and cancels out, leaving no net electric force.

View solution

Section 31.4: Nuclear Decay and Conservation Laws

Problem 4 (AP)

A nucleus in an excited state undergoes γ\gamma decay, losing 1.33 MeV when emitting a γ\gamma ray. In order to conserve energy in the reaction, what frequency must the γ\gamma ray have?

View solution

Problem 5 (AP)

95241Am^{241}_{95}\textrm{Am} is commonly used in smoke detectors because its α\alpha decay process provides a useful tool for detecting the presence of smoke particles. When 95241Am^{241}_{95}\textrm{Am} undergoes α\alpha decay, what is the resulting nucleus? If 95241Am^{241}_{95}\textrm{Am} were to undergo β\beta decay, what would be the resulting nucleus? Explain each answer.

View solution

Problem 6 (AP)

A 146C^{}{14}_6\textrm{C} nucleus undergoes a decay process, and the resulting nucleus is 714N{}^{14}_7\textrm{N}. What is the value of the charge released by the original nucleus?
  1. +1
  2. 0
  3. -1
  4. -2

View solution

Problem 8 (AP)

Identify the missing particle based upon conservation principles:

714N+24HeX+817O{}^{14}_7\textrm{N} + {}^4_2\textrm{He} \rightarrow \textrm{X}+{}^{17}_8\textrm{O}

  1. 12H{}^2_1\textrm{H}
  2. 11H{}^1_1\textrm{H}
  3. 612C{}^{12}_6\textrm{C}
  4. 614C{}^{14}_6\textrm{C}
  5. 48Be{}^8_4\textrm{Be}

View solution

Problem 9 (AP)

Are the following reactions possible? For each, explain why or why not.
  1. URa+He\textrm{U} \to \textrm{Ra} + \textrm{He}
  2. RaPb+C\textrm{Ra} \to \textrm{Pb} + \textrm{C}
  3. CN+e+νeˉ\textrm{C} \to \textrm{N} + e^- + \bar{\nu_e}
  4. MgNa+e++νe\textrm{Mg} \to \textrm{Na} + e^+ + \nu_e

View solution

Section 31.5: Half-Life and Activity

Problem 11 (AP)

When Po decays, the product is Pb. The half-life of this decay process is 1.78 ms. If the initial sample contains 3.4×10173.4\times 10^{17} parent nuclei, how many are remaining after 35 ms have elapsed? What kind of decay process is this (alpha, beta, or gamma)?

View solution

Section 31.6: Binding Energy

Problem 12 (AP)

Binding energy is a measure of how much work must be done against nuclear forces in order to disassemble a nucleus into its constituent parts. For example, the amount of energy in order to disassemble He into 2 protons and 2 neutrons requires 28.3 MeV of work to be done on the nuclear particles. Describe the force that makes it so difficult to pull a nucleus apart. Would it be accurate to say that the electric force plays a role in the forces within a nucleus? Explain why or why not.

View solution