Question
A particle physicist discovers a neutral particle with a mass of 2.02733 u that he assumes is two neutrons bound together. (a) Find the binding energy. (b) What is unreasonable about this result? (c) What assumptions are unreasonable or inconsistent?
Final Answer
- A negative binding energy is not stable.
- The particle is not made of two neutrons.
Solution video
OpenStax College Physics for AP® Courses, Chapter 31, Problem 76 (Problems & Exercises)

vote with a rating of
votes with an average rating of
.
Calculator Screenshots
Video Transcript
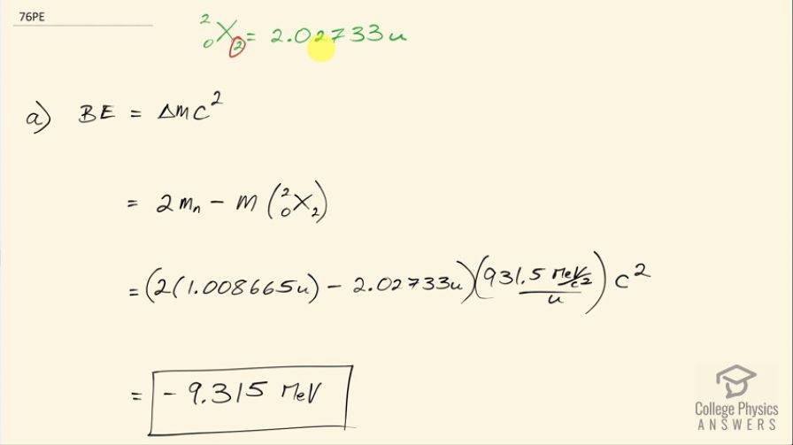
This is College Physics Answers with Shaun Dychko. A particle has been discovered that is assumed to consist of two neutrons bound together and it has a mass of 2.02733 atomic mass units the question in part (a) is what is the binding energy of this particle? So the binding energy is the difference in mass of the free neutrons separately and the mass of this combined particle when the neutrons are together. So we have 2 times the atomic mass of separated neutrons, which is 1.008665 atomic mass units minus the mass of this particle multiply that by 931.5 megaelectron volts per c squared for every atomic mass unit and then multiply by c squared and we get negative 9.315 megaelectron volts. A negative binding energy is not stable that means it takes energy to squish these things together and they are not going to stay that way. So this particle is not made of two neutrons.