Question
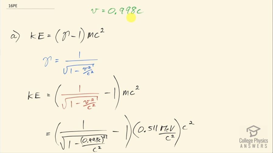
(a) What is the kinetic energy in MeV of a ray that is traveling at ? This gives some idea of how energetic a ray must be to travel at nearly the same speed as a ray. (b) What is the velocity of the ray relative to the ray?
Final Answer
Solution video
OpenStax College Physics for AP® Courses, Chapter 31, Problem 16 (Problems & Exercises)

vote with a rating of
votes with an average rating of
.
Calculator Screenshots
Video Transcript
This is College Physics Answers with Shaun Dychko. A β particle is moving at a speed of 0.998 times the speed of light and the question is what is its kinetic energy? This is a relativistic speed so we have to use the relativistic kinetic energy formula, which is γ minus 1 times mc squared where γ, which is the Lorentz factor, is 1 over square root 1 minus the speed squared divided by speed of light squared. So we substitute that in for γ here and then we write 1 over square root 1 minus 0.998c squared over c squared minus 1 times 0.511 megaelectron volts per c squared times c squared and the c squared's cancel where I have chosen this convenient rest mass for an electron with convenient units of megaelectron volts per c squared since we want to have an answer in megaelectron volts. This works out to 7.57 megaelectron volts. Part (b) is asking us to compare the velocity of a gamma ray which is a type of light— gamma ray is a photon— and so its speed is c and compare that to the speed of the β particle and so we will go c divided by the β particle velocity which is 0.998 times c and so the velocity of the gamma ray is 1.002 times the velocity of the beta particle.