Question
The manufacturer of a smoke alarm decides that the smallest current of radiation he can detect is . (a) Find
the activity in curies of an emitter that produces a
current of particles. (b) What is unreasonable about this result? (c) What assumption is responsible?
Final Answer
- This activity would be dangerous in a household appliance.
- The manufacturer needs to detect currents less than .
Solution video
OpenStax College Physics for AP® Courses, Chapter 31, Problem 68 (Problems & Exercises)

vote with a rating of
votes with an average rating of
.
Calculator Screenshots
Video Transcript
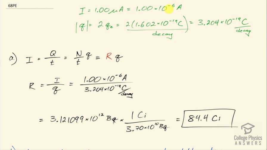
This is College Physics Answers with Shaun Dychko. The manufacturer of a smoke alarm believes that they can detect a current of only 1.00 microamp, which is 1.00 times 10 to the minus 6 amps and what they are detecting is current due to alpha decay and an alpha particle has a charge of 2 times the elementary charge because an alpha particle is a helium nucleus, which has two protons. So 2 protons give it a charge of 2 times elementary charge so that's 3.204 times 10 to the minus 19 coulombs for every alpha particle or for every decay. So the current is the total charge per time and this is the number of decays multiplied by the charge per decay, which we figured out here and this number per time is the activity so we can figure out the activity by dividing both sides by this charge per decay. So the activity then is the current divided by the charge per decay so that's 1.00 times 10 to the minus 6 amps divided by 3.204 times 10 to the minus 19 coloumbs per decay and that's 3.121099 times 10 to the 12 becquerels, which we convert into curies by multiplying by 1 curie for every 3.70 times 10 to the 10 becquerels and that's 84.4 curies. This is a high amount of activity; it would be dangerous in a household appliance like a smoke detector, you know, in a bedroom to which somebody would be exposed all the time. I mean I suppose alpha particles don't travel very far through the air so maybe it wouldn't be harmful but you know when somebody's holding with their hand installing it that would be a period where they would be getting alpha particle exposure and this is a very high activity. The manufacturer should be able to detect currents less than 1.00 microamp.