Question
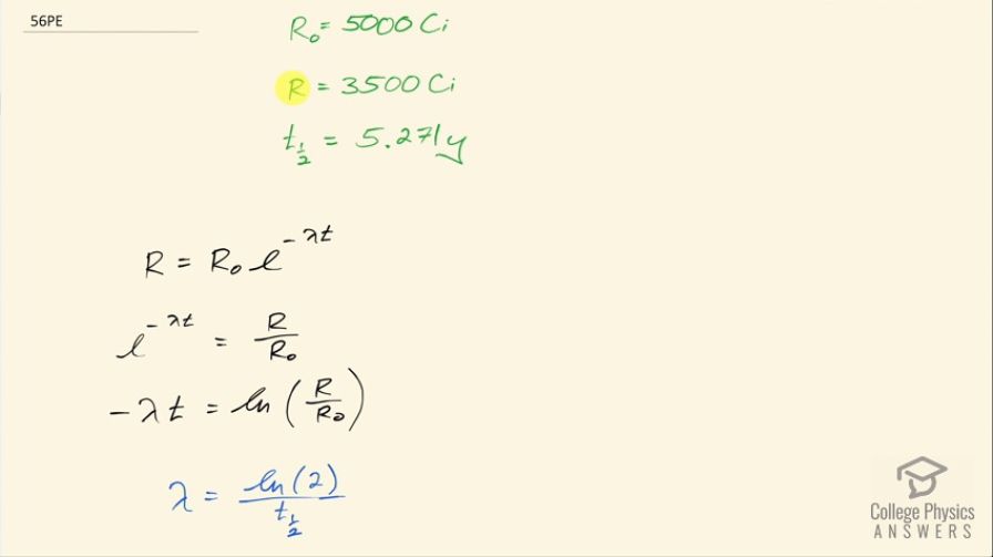
A 5000-Ci source used for cancer therapy is considered too weak to be useful when its activity falls to 3500 Ci. How long after its manufacture does this happen?
Final Answer
Solution video
OpenStax College Physics for AP® Courses, Chapter 31, Problem 56 (Problems & Exercises)

vote with a rating of
votes with an average rating of
.
Calculator Screenshots
Video Transcript
This is College Physics Answers with Shaun Dychko. A sample of cobalt-60 has an activity of 5000 curies and sometime later, its activity will be 3500 curies and when it drops to this level that's when the cobalt-60 is no longer useful for cancer therapy. The half-life of cobalt-60 is 5.271 years, which I looked up in the appendix at the end of the textbook and the question is how long will this take? So the activity is going to be the original activity times e to the negative of this decay factor times time. So we are going to solve for t first by dividing both sides by R naught and then we get e to the negative λt equals R over R naught then we take the natural logarithm of both sides and then we have negative λt equals natural logarithm of R over R naught. Now this decay factor λ is natural logarithm of 2 divided by the half-life so we can make a substitution for λ now and that's what I show in red here. So that's negative of natural logarithm of 2 divided by half-life times time equals natural logarithm of activity divided by original activity. So then we multiply both sides by negative half-life divided by natural log of 2 and then we get this line here. So the time it will take is negative of 5.271 years, which is the half-life times the natural logarithm of 3500 curies—which will be its activity in the future when it's no longer useful— for cancer therapy and divide by 5000 curies— activity that it has today— divided by natural log of 2 and that is 2.71 years.