Question
The relatively scarce naturally occurring calcium isotope has a half-life of about . (a) A small sample of this isotope is labeled as having an activity of 1.0 Ci. What is the mass of the in the sample? (b) What is unreasonable about this result? (c) What assumption is responsible?
Final Answer
- A "small sample" could not have such a large mass.
- The activity must be much smaller.
Solution video
OpenStax College Physics for AP® Courses, Chapter 31, Problem 80 (Problems & Exercises)

vote with a rating of
votes with an average rating of
.
Calculator Screenshots
Video Transcript
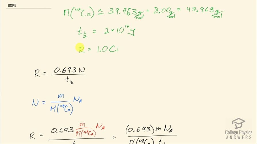
This is College Physics Answers with Shaun Dychko. A small sample of calcium-48 has a half-life of 2 times 10 to the 16 years and an activity of 1.0 curie we have to estimate what the molar mass of calcium-48 is because the appendix at the end of the textbook tells us only the mass of calcium-40... there is no listing for the isotope 48. So we have 39.963 grams per mol and we'll add to that 8.00 grams per mol— 1.00 gram per mol for each of the additional nucleons in this isotope versus the calcium-40 so we are going to estimate the molar mass then is 47.963 grams per mol. We are going to figure out what mass this sample has. We will use this formula first which says the activity of the sample is 0.693 multiplied by the number of atoms or nuclei divided by the half-life. So the number of atoms is going to be the mass divided by the molar mass of calcium-48 multiplied by Avogadro's number and we can substitute that in for N and we do that here and then move this to the denominator by multiplying top and bottom by that molar mass. So we have the activity then is 0.693 times mass times Avogadro's number divided by molar mass times half-life. So we can solve for m by multiplying both sides by the molar mass multiplied by the half-life and divide both sides by 0.693 times Avogadro's number and we do that to both sides. and then we have mass then is the activity times the half-life times the molar mass divided by 0.693 times Avogadro's number. So that's 1.0 curie of activity, which we have to convert into becquerels in order to use in this formula because becquerels is an mks unit— it is decays per second. So 1.0 curie multiplied by 3.70 times 10 to the 10 becquerels per curie multiplied by the half-life, which is 2 times 10 to the 16 years converted into seconds multiplied by 47.963 grams per mol— and this tells us that we are going to have grams as our mass unit by the way— and we divide by 0.693 times Avogadro's number and that's 2.68 times 10 to the 12 grams which we convert into kilograms by multiplying by 1 kilogram for every 1000 grams that's 2.68 times 10 to the 9 kilograms. That is much too great of a mass for something described as a small sample... that's 2 billion kilograms... or 3 billion kilograms. The activity must have been much lower.