Question
(a) Write the complete reaction equation for electron capture by . (b) Calculate the energy released.
Final Answer
- Please see the solution video
Solution video
OpenStax College Physics for AP® Courses, Chapter 31, Problem 43 (Problems & Exercises)

vote with a rating of
votes with an average rating of
.
Calculator Screenshots
Video Transcript
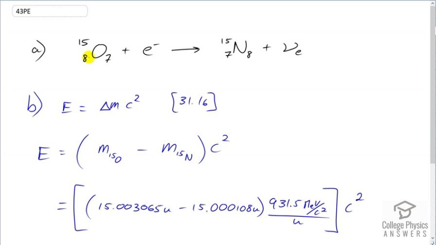
This is College Physics Answers with Shaun Dychko. Electron capture by oxygen-15 results in one of the protons turning into a neutron. So the oxygen has 8 protons and when one of them is neutralized by this electron, it turns into nitrogen which has only 7 protons and there are 8 neutrons in the nitrogen for a total of 15 nucleons just like we started with. OK. So there's also an electron-neutrino produced in order to balance the electron family number on both sides of this decay. So this electron here has an electron family number of negative 1 and this electron-neutrino also has an electron family number of negative 1 so it's negative 1 on both sides and that is therefore conserved. Charge is conserved because we have plus 8 here and negative 1 for a total of 7 on the left and there's a positive 7 on the right as well. Now we want to find the energy released in this electron capture and so that will be the difference in mass times c squared; that's equation 16 from chapter 31. And to calculate the difference in mass, we take the difference in the atomic mass of oxygen-15 and the atomic mass of nitrogen-15. And this might be a little bit surprising because we do see an electron shown on the left side here so you might suspect we should add the mass of an electron but we do not because this electron is not some new electron that has come from afar and then bombarded the oxygen atom, rather this electron is one of the 8 that's already included in the oxygen atom. And so this is a bit of a misleading way of writing this electron capture equation; this equation suggests that the electron is introduced from afar but instead that's not quite true, the electron is already here in the oxygen atom. So what this means is when you take the difference in the atomic mass between oxygen and nitrogen, these atomic masses include the masses of the electrons that normally surround these nuclides so there are 7 electrons around the nitrogen atom and so this mass of nitrogen-15 in the atomic mass appendix A includes the mass of 7 electrons and likewise, this oxygen includes the mass of 8 electrons, 7 of which are subjected or compensated for when you subtract the atomic mass of the nitrogen. Now so that means there is 1 electron not accounted for in this difference between atomic masses between oxygen and nitrogen and that's good because that is the extra electron that is captured. So this electron its mass is included in this difference even though it's not explicitly written. So hopefully that made sense. So here we go; we take the atomic mass of oxygen-15 and subtract from that the atomic mass of nitrogen-15 converted into megaelectrons per c squared and we end up with 2.754 megaelectron volts of energy released during the electron capture by oxygen-15.