Question
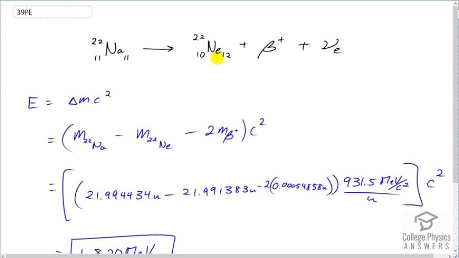
Calculate the energy released in the decay of , the equation for which is given in the text. The masses of
and are 21.994434 u and 21.991383 u, respectively.
Final Answer
Solution video
OpenStax College Physics for AP® Courses, Chapter 31, Problem 39 (Problems & Exercises)

vote with a rating of
votes with an average rating of
.
Calculator Screenshots
Video Transcript
This is College Physics Answers with Shaun Dychko. The positron decay of sodium-22 turns it into neon-22 and our question is how much energy is released during this decay? So we need to find the change in mass, multiply that by c squared to get the energy released. Now the products are this daughter nuclide neon-22 and also this positron particle and so this is going to be the total mass of the products; we can neglect the mass of the neutrino because it's so not massive. And we started with this mass of sodium-22. So we'll take the atomic mass of sodium-22 and subtract from that the atomic mass of neon-22 and we can look these up in appendix A. And then subtract from that also the mass of this positron but I have this factor 2 here which needs to be explained. So when you are dealing with the atomic masses, you have to remember that when you say the word 'atomic', it means you are including the electrons. So an atomic mass includes the electrons that are normally surrounding these nuclides so there are 11 electrons surrounding sodium nuclide 1 for each of the 11 protons in its nucleus and there are 10 electrons around a neon atom. So when you are taking the difference in these masses, there are 11 electron masses included in the sodium atomic mass and there are 10 electrons included in the neon atomic mass and so that means of the 11 you started with, you have taken away 10 and there's still one more to take away and so that's why we have to subtract one more mass of a β-particle. And then in addition, we need to subtract yet another mass of a β-particle due to this positron that's produced. I use the word β-particle, positron and electron all interchangeably here because they all have the same masses. So subtract one mass of a positron, let's say because of the electron mass that you did not compensate for in this difference here between these atomic masses due to the fact that neon has 1 fewer electron than sodium and then it also a second positron mass because one is produced in this decay and so that's why there is a 2 there. Alright. So we have the mass of a sodium-22 atom that we looked up in appendix A minus a neon-22 atom minus 2 times the mass of an electron written in atomic mass units. And then times by 931.5 megaelectron volts per c squared for every atomic mass unit all times c squared giving us 1.820 megaelectron volts of energy are released during the positron decay of sodium.