Question
What is the ratio of the velocity of a 5.00-MeV ray to that of an particle with the same kinetic energy? This should confirm that s travel much faster than α s even when relativity is taken into consideration.
Final Answer
Note: the mass of only 2 electrons should be subtracted from the atomic mass of helium whereas the video shows erroneously subtracting the mass of 4 electrons to get the mass of the alpha particle (which is a nuclide - the helium atom without the surrounding 2 electrons in other words). The error is numerically insignificant for this particular question since it doesn't change the final answer, but the concept is important. Thank you altonbell for spotting this.
Solution video
OpenStax College Physics for AP® Courses, Chapter 31, Problem 15 (Problems & Exercises)

vote with a rating of
votes with an average rating of
.
Calculator Screenshots
Video Transcript
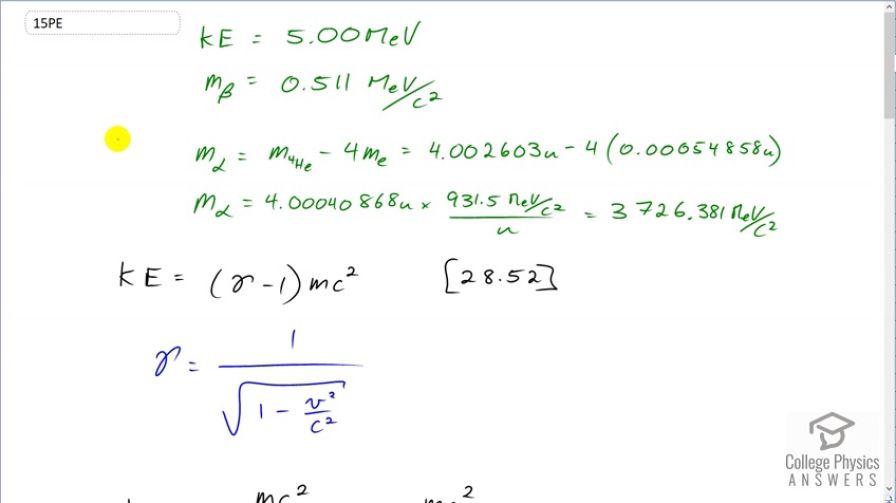
This is College Physics Answers with Shaun Dychko. This question is very similar to question number 11 where we found the ratio of speeds of a β-particle to that of an α-particle when the speeds were non-relativistic. But in question 15, we step it up a notch and we take relativity into consideration and our kinetic energy formula will now be this Lorentz factor minus 1 times mass times c squared; this is from equation 52 in chapter 28. Now this γ, this Lorentz factor is 1 over the square root of 1 minus the speed squared over the speed of light squared. But before we get into this, let's set up our information that we know. We know that the kinetic energy of both these particles is going to be 5 megaelectron volts and the mass of a β-particle is that of an electron which is 0.511 megaelectron volts per c squared. And the mass of an α-particle is the mass of a helium atom including its electrons but take away the mass of those four electrons and we are left with the mass of a helium nucleus which is what an α-particle is. And we have that expressed in atomic mass units here but we want to turn that into megaelectron volts per c squared by multiplying by 931.5 megaelectron volts per c squared for every atomic mass unit. So that sets up all of the information that we need later in the question. So we want to work with this formula here and figure out an expression for the speed of the particle and then take the ratio of that expression for the β-particle divided by that expression for the α-particle and then that ratio will be our answer. So we substitute this expression here for the Lorentz factor in our kinetic energy formula also distributing the mc squared into the brackets and we have kinetic energy is mc squared over square root 1 minus v squared over c squared minus mc squared. We have to do a bit of algebra here to solve for the v; it's buried into this square root sign which is itself in the denominator so that means there's a bunch of steps here that we have to do. So let's move this to the left-hand side or in other words, you could say let's add mc squared to both sides then switch the sides around and we get mc squared over square root 1 minus v squared over c squared is kinetic energy plus mc squared. Then we'll raise both sides to the exponent negative 1 because we don't want this unknown in the denominator anymore so let's put it in the numerator by flipping this fraction which we can do by raising it to the exponent negative 1 and we do that to the right-hand side as well; the right-hand side is the fraction all of this over 1 and then we flip that and write 1 over kinetic energy plus mc squared. and that equals on the left side square root 1 minus v squared over c squared all over mc squared. Then multiply both sides by mc squared to get rid of the denominator on the left and then afterwards, square both sides to get rid of the square root sign. And we end up with 1 minus v squared over c squared is mc squared over kinetic energy plus mc squared all squared. Then move this to the right-hand side making it positive and move this to the left-hand side making it negative and switch the sides around and we get v squared over c squared is 1 minus mc squared over kE plus mc squared all squared. Then multiply both sides by c squared and then take the square root of both sides to finally solve for v and congratulations if you followed all the way through here because this is lots of algebra involved. So when we take a square root of this side here, we can take the square root of the c squared which makes c and then this bracket we just have to write it as a square root of all that stuff. Then we this is an expression generally for the speed of some particle based on its mass and its kinetic energy and then we say let's take the speed for a β-particle and divide that by the speed of an α-particle. So that's gonna be c times square root 1 minus the mass of a β-particle times c squared over kinetic energy plus mass of the β-particle c squared all squared and this kinetic energy does not need a subscript because we are told that the β-particle and the α-particle have the same kinetic energy so there's no need to distinguish them with a subscript β and α. The c's cancel and nothing else cancels, you can't clean it up anymore than that so we just leave it like this well I wrote it as a single square root and then plug in numbers. So we have square root of 1 minus the mass of an electron and then divided by the kinetic energy—5 megaelectron volts— plus mass of an electron which conveniently is also expressed in units of megaelectron volts and so this ratio of electron volts cancel; you are left with electron volts in the numerator because this c squared there cancels with this c squared and likewise here. And then divide by 1 minus the mass of an α-particle in units of megaelectron volts per c squared divided by the kinetic energy of the α-particle plus its mass and square that and you end up with 19.2 is the ratio of their velocities. And that's quite different from question 11 where we found that the ratio is 85.4 when we had non-relativistic speeds but then in this case with the relativistic speed that you find at an energy of 5 megaelectron volts, the ratio is 19.2.