Question
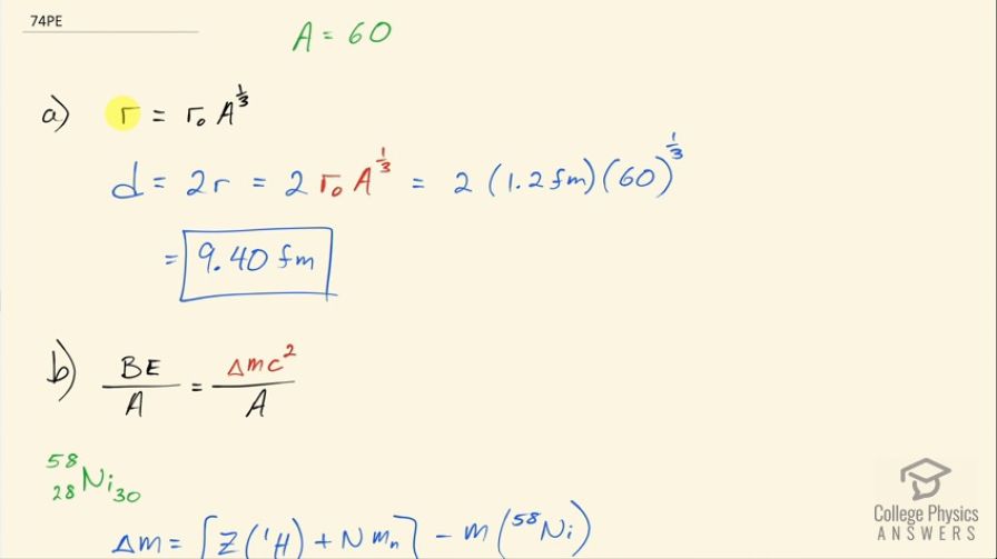
The fact that BE / A is greatest for near 60 implies that the range of the nuclear force is about the diameter of such nuclides. (a) Calculate the diameter of an nucleus. (b) Compare BE / A for and . The first is one of the most tightly bound nuclides, while the second is larger and less tightly bound.
Final Answer
- BE / A for = BE / A for The binding energy of nickel 58 is 0.41% greater than that of strontium 90.
Solution video
OpenStax College Physics for AP® Courses, Chapter 31, Problem 74 (Problems & Exercises)

vote with a rating of
votes with an average rating of
.
Calculator Screenshots
Video Transcript
This is College Physics Answers with Shaun Dychko. The binding energy per nucleon is greatest for a mass number of about 60 and so we will find the diameter of a nuclide with this mass number and we assume that this is approximately the range of the strong nuclear force because increasing the diameter beyond this by adding more nucleons decreases the stability and therefore decreases the binding energy per nucleon. Okay! So the diameter is going to be 2 times the radius and the radius of a nucleus is r naught times the mass number to the power of one-third and r naught is 1.2 femtometers and we multiply that by 60 to the power of one-third and we get a diameter of 9.40 femtometers. In part (b), we are going to compare the binding energy per nucleon for nickel-58 to strontium-90. Nickel-58 is one of the most stable nuclides and 58 being close to 60 here whereas strontium is less stable. Okay! So the binding energy per nucleon is this mass defect times c squared divided by the number of nucleons and the mass defect is this difference in mass between the free protons and neutrons that would otherwise make up this nuclide and the mass of them packaged together into the nuclide. Now this is not the mass of a proton here, this is the atomic mass of the hydrogen atom including the electron and that's intentional because we are going to subtract away an equal number of electron masses included in the atomic mass for nickel-58 and this mass here is the mass of just free neutrons. So Z is the number of protons, which is 28 as we can find out in this appendix here. So nickel-58 is atomic number of 28, which means there are 28 protons and that leaves 30 neutrons left over when you take the total number of nucleons—58—minus 28. So Z is number of protons, N is the number of neutrons and A is the number of nucleons. So we take 28, multiply it by the mass of a hydrogen atom— 1.007825 atomic mass units— plus 30 times the mass of a free neutron— 1.008665 atomic mass units— and from that subtract the atomic mass of nickel-58, which I looked up in the appendix and this difference in mass then is 0.543704 atomic mass units. So we take that mass defect multiply it by 931.5 megaelectron volts per c squared for every atomic mass unit and then multiply by c squared and divide by 58 and we get 8.732 megaelectron volts per nucleon is the binding energy per nucleon for nickel-58. Then we do the same work for strontium-90 and strontium has an atomic number of 38 so we multiply 38 by the atomic mass of hydrogen plus 52 multiplied by the mass of a neutron minus the atomic mass of strontium-90 and that gives mass defect of 0.840192 atomic mass units. We multiply that by 931.5 and divide by 90 and we get 8.696 megaelectron volts per nucleon and we divided by 90 because there are 90 nucleons. So the binding energy per nucleon is different it is higher for nickel-58 than it is for strontium-90 and we expected that; a higher binding energy per nucleon correlates with greater stability and we were told that nickel-58 is more stable than strontium-90. To compare the numbers, we'll find the percent difference so I find the absolute difference and divide by the binding energy per nucleon of strontium times by 100 percent and the binding energy of nickel-58 then is 0.41 percent greater than that of strontium-90.