Final Answer
Solution video
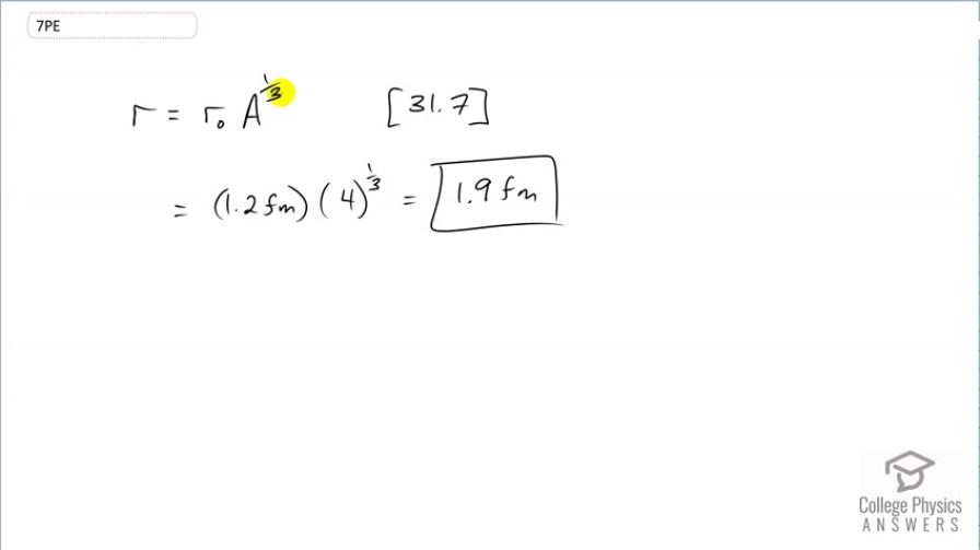
OpenStax College Physics for AP® Courses, Chapter 31, Problem 7 (Problems & Exercises)

vote with a rating of
votes with an average rating of
.
Calculator Screenshots
Video Transcript
This is College Physics Answers with Shaun Dychko. The radius of a nuclide is given by this equation— r naught times the mass number to the power of one-third— this is equation [31.7]. r naught is 1.2 fermis, or femtometers, and for a α-particle, the mass number is 4 because there are 4 nucleons in the helium nuclide and raise that to the power of one-third and you get 1.9 femtometers.