Question
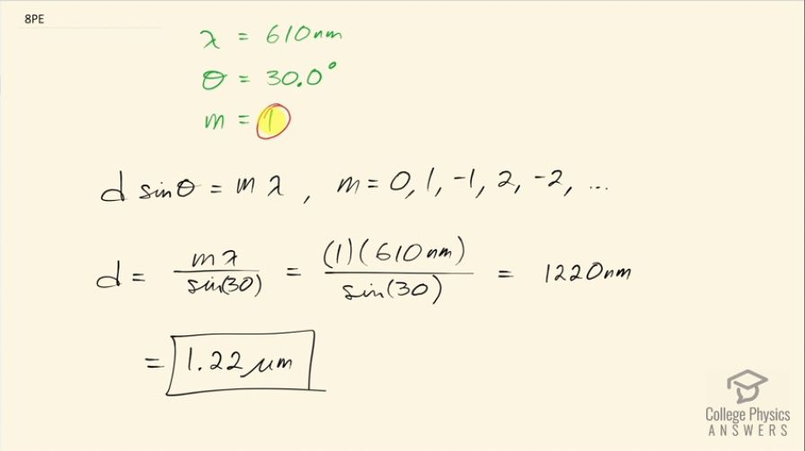
What is the separation between two slits for which 610-nm orange light has its first maximum at an angle of 30.030.0^\circ?
Question by OpenStax is licensed under CC BY 4.0
Final Answer
1.22 μm1.22 \textrm{ }\mu\textrm{m}

Solution video

OpenStax College Physics for AP® Courses, Chapter 27, Problem 8 (Problems & Exercises)

OpenStax College Physics, Chapter 27, Problem 8 (PE) video thumbnail

In order to watch this solution you need to have a subscription.

Start free trial Log in
vote with a rating of votes with an average rating of .

Calculator Screenshots

  • OpenStax College Physics, Chapter 27, Problem 8 (PE) calculator screenshot 1
Video Transcript
This is College Physics Answers with Shaun Dychko. During a double slit experiment, we are using light of wavelength 610 nanometers and the first maximum occurs at a angle of 30.0 degrees so m in this formula here for the locations of the constructive interference or the maxima m is going to be 1 because it's the first maximum, d is the separation between the slits that we have to find. So we are going to divide both sides by sin of 30 and that gives us d equals the order times the wavelength of light divided by sin of the angle to the maximum... I suppose I should put a Θ there. Okay! So the order is 1 because it's the first maximum and we multiply that by 610 nanometers divided by sin of 30 and that's 1220 nanometers, which is 1.22 micrometers.