Question
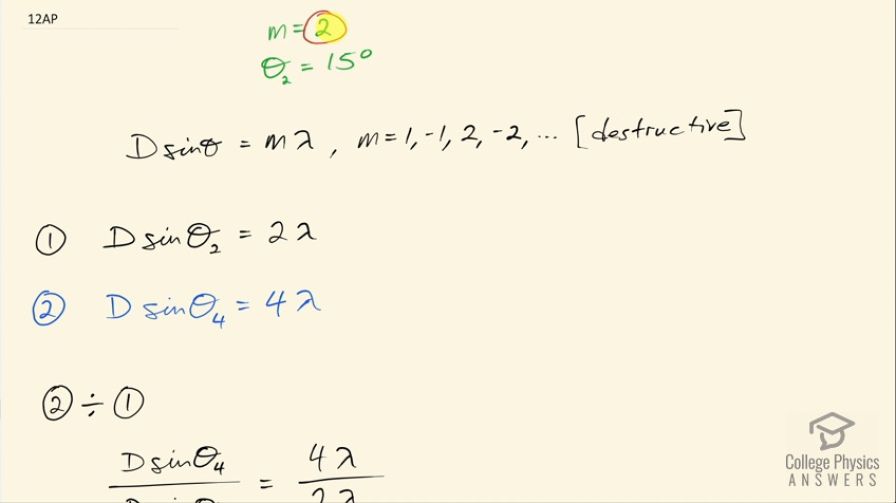
Monochromatic light passing through a single slit forms a diffraction pattern on a screen. If the second minimum occurs at an angle of 1515^\circ, find the angle for the fourth minimum.
Question by OpenStax is licensed under CC BY 4.0
Final Answer
31.231.2^\circ

Solution video

OpenStax College Physics for AP® Courses, Chapter 27, Problem 12 (Test Prep for AP® Courses)

OpenStax College Physics, Chapter 27, Problem 12 (AP) video thumbnail

In order to watch this solution you need to have a subscription.

Start free trial Log in
vote with a rating of votes with an average rating of .

Calculator Screenshots

  • OpenStax College Physics, Chapter 27, Problem 12 (AP) calculator screenshot 1
Video Transcript
This is College Physics Answers with Shaun Dychko. Light with a single wavelength is passing through a single slit and it forms a diffraction pattern, the second minimum occurs at an angle of 15 degrees and our question is to find the fourth minimum so this is the formula for finding the minima or the destructive positions in the diffraction pattern and that equals the width of the slit—D— times sin of that angle to that minimum and that equals the order times the wavelength where this order can be 1, negative 1, 2 and negative 2 and so on. So in the first case, we have D times sin Θ 2 equals 2 times λ because m is 2 and Θ 2 we know and in the second case where you have the fourth order minimum that we're looking for— we have the number 4 replaced in for the letter m— and it's the same slit so D here does not need a subscript and then we have sin of the angle to the fourth minimum and we can divide these two equations and the common factors are going to be canceling so we have Dsin Θ 4 over Dsin Θ 2 has the D's cancel and then we have 4λ divided by 2λ and the λ's cancel and 4 divided by 2 is 2 and we can multiply both sides by sin Θ 2 and then we get sin Θ 4 then is 2 times sin Θ 2. Then we take the inverse sin of both sides and we get that the angle to the fourth minimum is inverse sin of 2 times sin of the angle to the second minimum. So it's the inverse sin of 2 times sin of 15 and that's 31.2 degrees.