Question
Show that a diffraction grating cannot produce a second- order maximum for a given wavelength of light unless the first-order maximum is at an angle less than 30.030.0^\circ.
Question by OpenStax is licensed under CC BY 4.0
Final Answer
Please see the solution video.

Solution video

OpenStax College Physics for AP® Courses, Chapter 27, Problem 34 (Problems & Exercises)

OpenStax College Physics, Chapter 27, Problem 34 (PE) video thumbnail

In order to watch this solution you need to have a subscription.

Start free trial Log in
vote with a rating of votes with an average rating of .
Video Transcript
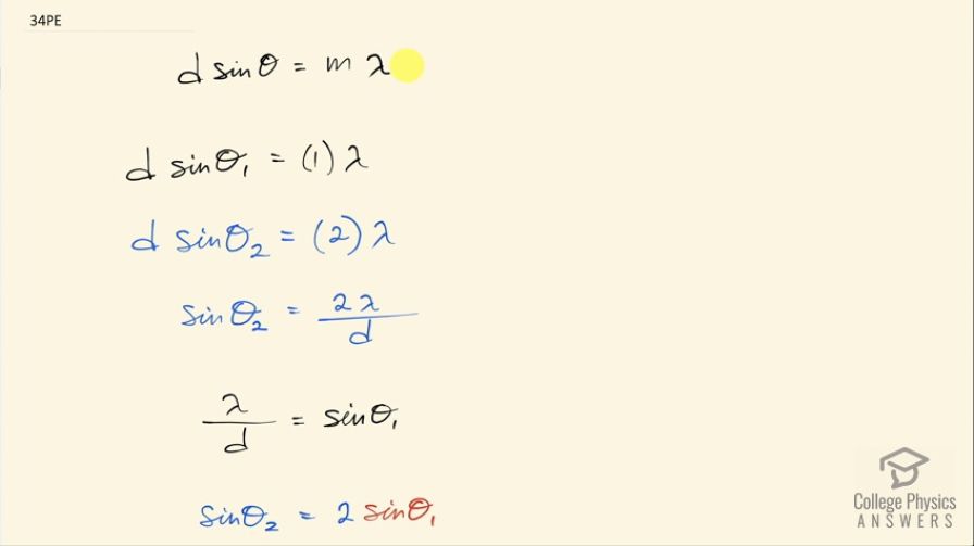
This is College Physics Answers with Shaun Dychko. We need to show that a diffraction grating cannot produce a second order maximum for a certain wavelength of light unless the first order maximum is at 30 degrees or less. So we have this formula to tell us where the maximum is at this angle Θ with respect to some central axis so we have our diffraction grating here and some screen and we have light being projected through this diffraction grating and here's the central axis and we'll have the maximum at this angle Θ so here's a bright spot for certain color. Okay! So we have two different angles to consider the first angle is when we have the first order maximum and the second angle is when we have the second order maximum and we know what the angle is at its most for the second order maximum— that's going to be 90 degrees that is the limit that you can have for an angle and still see it projected on the screen; I mean strictly speaking 90 degrees if it was if the light coming through this diffraction grating at a maximum at 90 degrees, strictly speaking it would be parallel to the screen and it would not touch the screen but we are just going to use 90 because that's like you know, 89.99999... you know, let's take the limit to 90. So we know that sin Θ to the second order maximum is 2 times the wavelength divided by the spacing and for the first order maximum, we can get an expression for sin Θ 1 and write it as λ over d by dividing both sides by d and we have λ over d is sin Θ 1 and so we can substitute and replace λ over d with sin Θ 1 and this is useful because we want to express Θ 1 in terms of Θ 2 because we know what Θ 2 is going to be— it's going to be 90— and that will correspond to the maximum possible value for Θ 1 and we are going to figure out what that value is. Okay! So divide both sides by 2 and we have sin Θ 1 is sin Θ 2 over 2 and the maximum possible value for the second order maximum is 90 degrees as we mentioned and so we plug in 90 there and sin of 90 is 1 in here since we put 90 there, what we are finding then is the maximum possible angle for Θ 1 and so the inverse sin of both sides here it gives us Θ 1 max then is the inverse sin of a half which is 30.0 degrees and so at its most, the first order maximum has to occur at an angle of 30.0 degrees or less in order for the second order maximum to have an angle of 90 degrees or less. And there we go!