Question
(a) What is the minimum width of a single slit (in multiples of λ ) that will produce a first minimum for a wavelength λ\lambda? (b) What is its minimum width if it produces 50 minima? (c) 1000 minima?
Question by OpenStax is licensed under CC BY 4.0
Final Answer
  1. D=λD = \lambda
  2. D=50λD = 50 \lambda
  3. D=1000λD = 1000 \lambda

Solution video

OpenStax College Physics for AP® Courses, Chapter 27, Problem 52 (Problems & Exercises)

OpenStax College Physics, Chapter 27, Problem 52 (PE) video thumbnail

In order to watch this solution you need to have a subscription.

Start free trial Log in
vote with a rating of votes with an average rating of .
Video Transcript
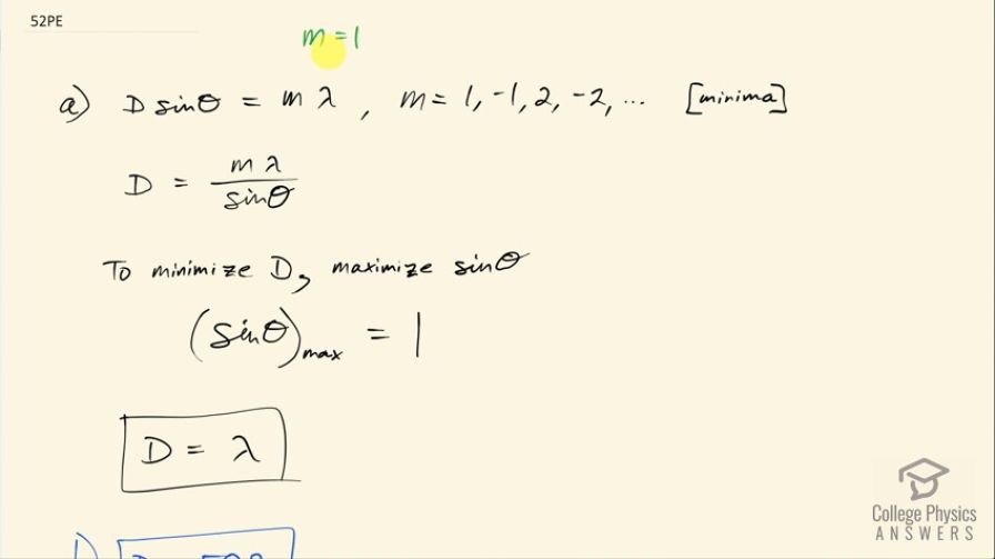
This is College Physics Answers with Shaun Dychko. We want to know the minimum width of a slit in multiples of the wavelength λ that will produce a first minimum for a wavelength of λ. So here's the formula relating the slit width and the angle to the minimum and the order and the wavelength. So we can solve for the slit width by dividing both sides by sin Θ and we get then that the slit width D equals the order times the wavelength divided by sin of the angle to the minimum. So to minimize D, we have to maximize the denominator of this fraction the bigger the bottom of the fraction gets, the smaller the quotient becomes. m is prescribed to be 1 because it's the first minimum we are told in the question and λ is not a number, it's just going to be in terms of λ... it's going to be our answer. So we are going to minimize D by maximizing sin Θ now the maximum possible value for sin Θ is 1 because the sin graph looks like this and the range for the sin function is from negative 1 up to 1 so this is a graph of y equals sin Θ or this is the Θ-axis and this is the y-axis and you can never get above 1 so the maximum possible value is 1. So we plug in 1 for sin Θ, 1 for m and we get that D then is the wavelength. Now in case (b), what is the minimum width if it produces 50 minima? Well in this case, m is now 50 so whereas before m was 1 now m is 50 and sin Θ is still going to be 1 and so the answer is the slit width would have to be 50 times the wavelength. And for part (c), you'll get a 1000 minima if the slit width is 1000 times the wavelength.