Question
At what angle is the fourth-order maximum for the situation in Exercise 27.6?
Question by OpenStax is licensed under CC BY 4.0
Final Answer
2.062.06^\circ

Solution video

OpenStax College Physics for AP® Courses, Chapter 27, Problem 12 (Problems & Exercises)

OpenStax College Physics, Chapter 27, Problem 12 (PE) video thumbnail

In order to watch this solution you need to have a subscription.

Start free trial Log in
vote with a rating of votes with an average rating of .

Calculator Screenshots

  • OpenStax College Physics, Chapter 27, Problem 12 (PE) calculator screenshot 1
Video Transcript
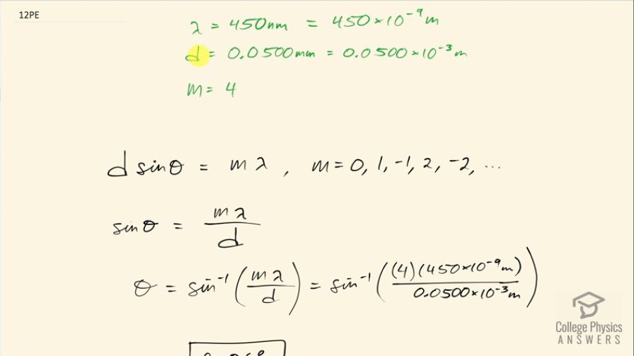
This is College Physics Answers with Shaun Dychko. 450 nanometer wavelength light is incident on a double slit where the slits are separated by 0.0500 millimeters and we are asked to figure out the angle to the fourth order maximum. Let's first convert units into meters so we have 450 nanometers is 450 times 10 to the minus 9 meters and our separation between slits is 0.0500 times 10 to the minus 3 meters; this is the formula for the maxima where you have the separation between slits d times sin of the angle to the maximum equals the order of the maximum times the wavelength of the light and we will divide both sides by d to solve for sin Θ and then take the inverse sin of both sides to solve for Θ. So Θ is the inverse sin of the order times the wavelength divided by the separation between slits. So that is the inverse sin of 4 times 450 times 10 to the minus 9 meters divided by 0.0500 times 10 to the minus 3 meters which is 2.06 degrees.