Question
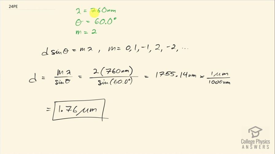
What is the distance between lines on a diffraction grating that produces a second-order maximum for 760-nm red light at an angle of 60.060.0^\circ?
Question by OpenStax is licensed under CC BY 4.0
Final Answer
1.76 μm1.76\textrm{ }\mu\textrm{m}

Solution video

OpenStax College Physics for AP® Courses, Chapter 27, Problem 24 (Problems & Exercises)

OpenStax College Physics, Chapter 27, Problem 24 (PE) video thumbnail

In order to watch this solution you need to have a subscription.

Start free trial Log in
vote with a rating of votes with an average rating of .

Calculator Screenshots

  • OpenStax College Physics, Chapter 27, Problem 24 (PE) calculator screenshot 1
Video Transcript
This is College Physics Answers with Shaun Dychko. We want to know what is the spacing between lines on a diffraction grating when there is light of wavelength 760 nanometers hitting the diffraction grating and we want a second order maximum to occur at an angle of 60 degrees. Well this formula relates all these things together and says that the space between lines times sin of the angle to the maximum equals the order of the maximum times the wavelength. So we can divide both sides by sin Θ to solve for d so d then is the order times the wavelength divided by sin of the angle. So that's 2 times 760 nanometers divided by sin of 60.0 degrees and because we entered the wavelength in units of nanometers, we get our answer here in nanometers. So there's 1755.14 nanometers between lines but we can only have three significant figures in this case so we'll convert this into micrometers by multiplying by 1 micrometer for every 1000 nanometers and this is 1.76 micrometers is the space between lines.