Question
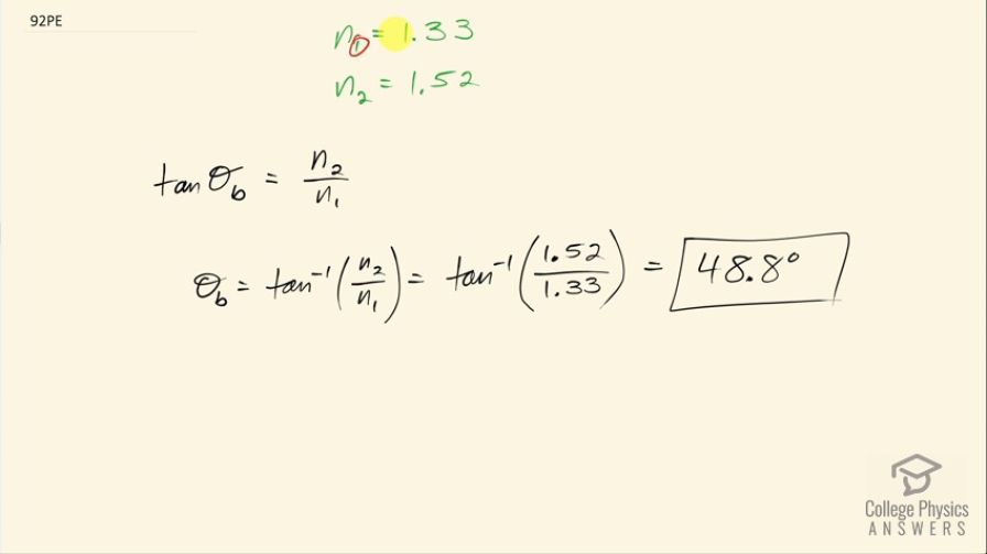
What is Brewster’s angle for light traveling in water that is reflected from crown glass?
Question by OpenStax is licensed under CC BY 4.0
Final Answer
48.848.8^\circ

Solution video

OpenStax College Physics for AP® Courses, Chapter 27, Problem 92 (Problems & Exercises)

OpenStax College Physics, Chapter 27, Problem 92 (PE) video thumbnail

In order to watch this solution you need to have a subscription.

Start free trial Log in
vote with a rating of votes with an average rating of .

Calculator Screenshots

  • OpenStax College Physics, Chapter 27, Problem 92 (PE) calculator screenshot 1
Video Transcript
This is College Physics Answers with Shaun Dychko. Light is traveling initially in water so the index of refraction of the first medium is that of water so that's 1.33, which we can look up in table [25.1]; we also want to look up the index of refraction for crown glass, which is 1.52. Okay! So the second medium has index of refraction 1.52. So the tangent of the Brewsters Angle is the index of refraction of the second medium divided by the index of refraction of the first medium. So we can take the inverse tangent of both sides to solve for the Brewsters Angle. So Brewsters Angle is the inverse tan of n 2 over n 1. So it's the inverse tan of 1.52 divided by 1.33 and that's 48.8 degrees.