Question
A scuba diver sees light reflected from the water’s surface. At what angle will this light be completely polarized?
Question by OpenStax is licensed under CC BY 4.0
Final Answer
53.153.1^\circ

Solution video

OpenStax College Physics for AP® Courses, Chapter 27, Problem 93 (Problems & Exercises)

OpenStax College Physics, Chapter 27, Problem 93 (PE) video thumbnail

In order to watch this solution you need to have a subscription.

Start free trial Log in
vote with a rating of votes with an average rating of .

Calculator Screenshots

  • OpenStax College Physics, Chapter 27, Problem 93 (PE) calculator screenshot 1
Video Transcript
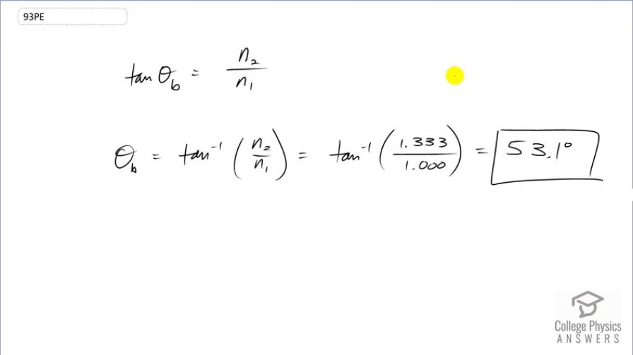
This is College Physics Answers with Shaun Dychko. Brewster's angle is the angle at which incident light will be reflected, polarized from a material. And so it's the ratio of the index refraction of the material that it's bouncing off of divided by the index refraction of the initial material that it’s traveling through. and that's going to be the tangent of Brewster's angle. So, we take the inverse tangent on both sides here to solve for the angle. So, the inverse tangent of n two over n one. So, we have the inverse tangent of index of refraction of water which is the second material that it's the light is bouncing off of divided by the index of refraction of the initial material which is air that has an index refraction of 1.0. This gives an angle of 53.1 degrees.