Question
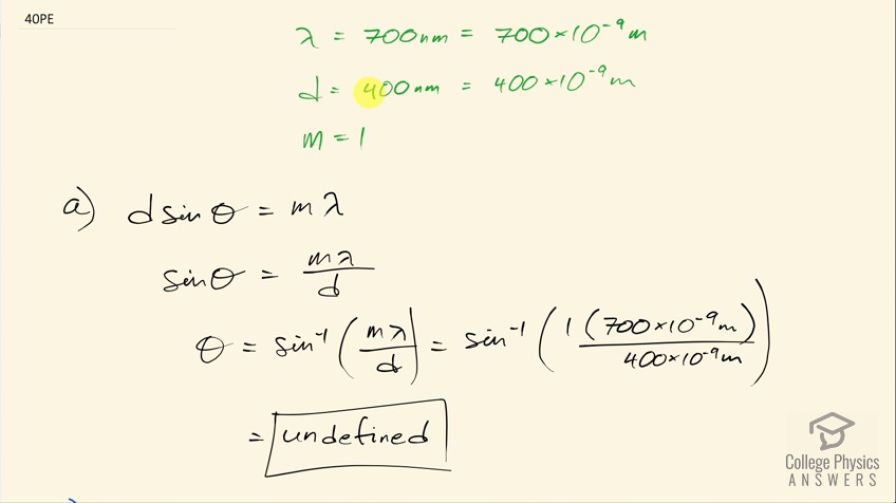
Red light of wavelength of 700 nm falls on a double slit separated by 400 nm. (a) At what angle is the first-order maximum in the diffraction pattern? (b) What is unreasonable about this result? (c) Which assumptions are unreasonable or inconsistent?
Question by OpenStax is licensed under CC BY 4.0
Final Answer
  1. undefined
  2. The inverse sine of a number greater than 1 is undefined.
  3. λd\dfrac{\lambda}{d} can't be greater than 1. It's necessary to have a combination of wavelength decreasing and spacing between the slits decreasing.

Solution video

OpenStax College Physics for AP® Courses, Chapter 27, Problem 40 (Problems & Exercises)

OpenStax College Physics, Chapter 27, Problem 40 (PE) video thumbnail

In order to watch this solution you need to have a subscription.

Start free trial Log in
vote with a rating of votes with an average rating of .
Video Transcript
This is College Physics Answers with Shaun Dychko. 700 nanometer light is incident on a double-slit where the slits are separated by 400 nanometers and we are told that there's a first order maximum in the diffraction pattern and at what angle will that maximum occur? So I converted both of these into meters by substituting the prefix 'nano' with times 10 to the minus 9 and we have this handy formula here which will tell us the angle and we divide both sides by the separation between the slits in the diffracting grating and so then sin of the angle to the maximum is the order times the wavelength divided by the distance between the lines and take the inverse sin of both sides and we get the angle is the inverse sin of over d. So that's the inverse sin of 1 times 700 times 10 to the minus 9 meters— wavelength—divided by 400 times 10 to the minus 9 meters— separation between lines— but this is going to be undefined because the sin graph is like this and it has a range from negative 1 at its minimum to a maximum of 1 and this is the Θ-axis and this is the y-axis— this is a graph of y equals sin Θ— so you can't get an angle for a value for sin that's more than 1 because it will never be more than 1 so anyways so the answer is undefined. The inverse sin of a number greater than 1 is undefined is our reason for complaint here and you can't have λ over d being greater than 1 so either the wavelength has to be lower than what's stated in the question or d has to be greater than what was stated until the point where this number becomes 1 or less.