Chapter 27

Chapter thumbnail
he colors reflected by this compact disc vary with angle and are not caused by pigments. Colors such as these are direct evidence of the wave character of light.

Chapter 27 : Wave Optics - all with Video Solutions

Problems & Exercises

Section 27.1: The Wave Aspect of Light: Interference

Problem 3

What is the index of refraction of a material for which the wavelength of light is 0.671 times its value in a vacuum? Identify the likely substance.

View solution

Problem 4

Analysis of an interference effect in a clear solid shows that the wavelength of light in the solid is 329 nm. Knowing this light comes from a He-Ne laser and has a wavelength of 633 nm in air, is the substance zircon or diamond?

View solution

Section 27.3: Young's Double Slit Experiment

Problem 7

Calculate the angle for the third-order maximum of 580-nm wavelength yellow light falling on double slits separated by 0.100 mm.

View solution

Problem 8

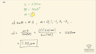
What is the separation between two slits for which 610-nm orange light has its first maximum at an angle of 30.030.0^\circ?

View solution

Problem 9

Find the distance between two slits that produces the first minimum for 410-nm violet light at an angle of 45.045.0^\circ

View solution

Problem 10

Calculate the wavelength of light that has its third minimum at an angle of 30.030.0^\circ when falling on double slits separated by 3.00 μm3.00\textrm{ }\mu\textrm{m} . Explicitly, show how you follow the steps in Problem-Solving Strategies for Wave Optics.

View solution

Problem 11

What is the wavelength of light falling on double slits separated by 2.00 μm2.00 \textrm{ }\mu\textrm{m} if the third-order maximum is at an angle of 60.060.0^\circ?

View solution

Problem 13

What is the highest-order maximum for 400-nm light falling on double slits separated by 25.0 μm25.0 \textrm{ }\mu\textrm{m}.

View solution

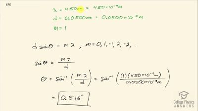
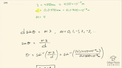
Problem 14

Find the largest wavelength of light falling on double slits separated by 1.20 μm1.20\textrm{ }\mu\textrm{m} for which there is a first-order maximum. Is this in the visible part of the spectrum?

View solution

Problem 16

(a) What is the smallest separation between two slits that will produce a second-order maximum for any visible light? (b) For all visible light?

View solution

Problem 17

(a) If the first-order maximum for pure-wavelength light falling on a double slit is at an angle of 10.010.0^\circ, at what angle is the second-order maximum? (b) What is the angle of the first minimum? (c) What is the highest-order maximum possible here?

View solution

Problem 18

Figure 27.56 shows a double slit located a distance x from a screen, with the distance from the center of the screen given by yy . When the distance dd between the slits is relatively large, there will be numerous bright spots, called fringes. Show that, for small angles (where sin(θ)λ\sin{(\theta)} \approx \lambda , with θ\theta in radians), the distance between fringes is given by Δy=xλd\Delta y = \dfrac{x\lambda}{d}Δy = xλ / d .

View solution

Problem 19

Using Δy=xλd\Delta y = \dfrac{x\lambda}{d}, calculate the distance between fringes for 633-nm light falling on double slits separated by 0.0800 mm, located 3.00 m from a screen as in Figure 27.56.

View solution

Section 27.4: Multiple Slit Diffraction

Problem 21

A diffraction grating has 2000 lines per centimeter. At what angle will the first-order maximum be for 520-nm- wavelength green light?

View solution

Problem 22

Find the angle for the third-order maximum for 580-nm- wavelength yellow light falling on a diffraction grating having 1500 lines per centimeter.

View solution

Problem 23

How many lines per centimeter are there on a diffraction grating that gives a first-order maximum for 470-nm blue light at an angle of 25.025.0^\circ?

View solution

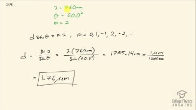
Problem 24

What is the distance between lines on a diffraction grating that produces a second-order maximum for 760-nm red light at an angle of 60.060.0^\circ?

View solution

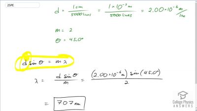
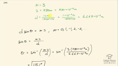
Problem 25

Calculate the wavelength of light that has its second-order maximum at 45.045.0^\circ when falling on a diffraction grating that has 5000 lines per centimeter.

View solution

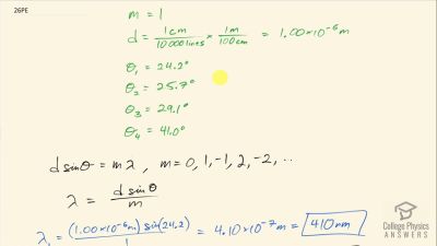
Problem 26

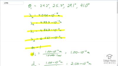
An electric current through hydrogen gas produces several distinct wavelengths of visible light. What are the wavelengths of the hydrogen spectrum, if they form first-order maxima at angles of 24.224.2^\circ, 25.725.7^\circ, 29.129.1^\circ, 41.041.0^\circ when projected on a diffraction grating having 10,000 lines per centimeter? Explicitly show how you follow the steps in Problem-Solving Strategies for Wave Optics.

View solution

Problem 27

(a) Given a 10000 lines per centimeter diffraction grating, the wavelengths 409.9 nm, 433.7 nm, 486.3 nm, 656.1 nm, form first-order maxima at angles of 24.224.2^\circ, 25.725.7^\circ, 29.129.1^\circ, 41.041.0^\circ, respectively. What do the four angles become if a 5000-line-per-centimeter diffraction grating is used? (b) Using this grating, what would the angles be for the second- order maxima? (c) Discuss the relationship between integral reductions in lines per centimeter and the new angles of various order maxima.

View solution

Problem 28

What is the maximum number of lines per centimeter a diffraction grating can have and produce a complete first- order spectrum for visible light?

View solution

Problem 29

The yellow light from a sodium vapor lamp seems to be of pure wavelength, but it produces two first-order maxima at 36.09336.093^\circ and 36.12936.129^\circ when projected on a 10,000 line per centimeter diffraction grating. What are the two wavelengths to an accuracy of 0.1 nm?

View solution

Problem 30

What is the spacing between structures in a feather that acts as a reflection grating, given that they produce a first- order maximum for 525-nm light at a 30.030.0^\circ angle?

View solution

Problem 31

Structures on a bird feather act like a reflection grating having 8000 lines per centimeter. What is the angle of the first-order maximum for 600-nm light?

View solution

Problem 32

An opal such as that shown in Figure 27.17 acts like a reflection grating with rows separated by about 8 μm8\textrm{ }\mu\textrm{m} . If the opal is illuminated normally, (a) at what angle will red light be seen and (b) at what angle will blue light be seen?

View solution

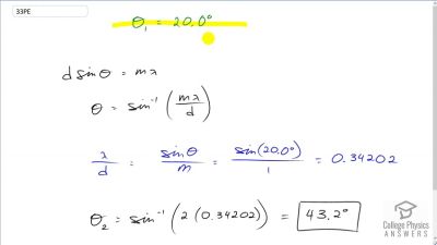
Problem 33

At what angle does a diffraction grating produces a second-order maximum for light having a first-order maximum at 20.020.0^\circ?

View solution

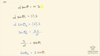
Problem 34

Show that a diffraction grating cannot produce a second- order maximum for a given wavelength of light unless the first-order maximum is at an angle less than 30.030.0^\circ.

View solution

Problem 35

If a diffraction grating produces a first-order maximum for the shortest wavelength of visible light at 30.030.0^\circ, at what angle will the first-order maximum be for the longest wavelength of visible light?

View solution

Problem 36

(a) Find the maximum number of lines per centimeter a diffraction grating can have and produce a maximum for the smallest wavelength of visible light. (b) Would such a grating be useful for ultraviolet spectra? (c) For infrared spectra?

View solution

Problem 37

(a) Show that a 30,000-line-per-centimeter grating will not produce a maximum for visible light. (b) What is the longest wavelength for which it does produce a first-order maximum? (c) What is the greatest number of lines per centimeter a diffraction grating can have and produce a complete second- order spectrum for visible light?

View solution

Problem 38

A He–Ne laser beam is reflected from the surface of a CD onto a wall. The brightest spot is the reflected beam at an angle equal to the angle of incidence. However, fringes are also observed. If the wall is 1.50 m from the CD, and the first fringe is 0.600 m from the central maximum, what is the spacing of grooves on the CD?

View solution

Problem 39

The analysis shown in the figure below also applies to diffraction gratings with lines separated by a distance dd. What is the distance between fringes produced by a diffraction grating having 125 lines per centimeter for 600-nm light, if the screen is 1.50 m away?

View solution

Problem 40

Red light of wavelength of 700 nm falls on a double slit separated by 400 nm. (a) At what angle is the first-order maximum in the diffraction pattern? (b) What is unreasonable about this result? (c) Which assumptions are unreasonable or inconsistent?

View solution

Problem 41

(a) What visible wavelength has its fourth-order maximum at an angle of 25.025.0^\circ when projected on a 25,000-line-per-centimeter diffraction grating? (b) What is unreasonable about this result? (c) Which assumptions are unreasonable or inconsistent?

View solution

Section 27.5: Single Slit Diffraction

Problem 44

(a) Calculate the angle at which a 2.00 μm2.00\textrm{ }\mu\textrm{m} wide slit produces its first minimum for 410-nm violet light. (b) Where is the first minimum for 700-nm red light?

View solution

Problem 45

(a) How wide is a single slit that produces its first minimum for 633-nm light at an angle of 28.028.0^\circ? (b) At what angle will the second minimum be?

View solution

Problem 46

(a) What is the width of a single slit that produces its first minimum at 60.060.0^\circ for 600-nm light? (b) Find the wavelength of light that has its first minimum at 62.062.0^\circ.

View solution

Problem 47

Find the wavelength of light that has its third minimum at an angle of 48.648.6^\circ when it falls on a single slit of width 3.00 μm3.00 \textrm{ }\mu\textrm{m}.

View solution

Problem 48

Calculate the wavelength of light that produces its first minimum at an angle of 36.936.9^\circ when falling on a single slit of width 1.00 μm1.00\textrm{ }\mu\textrm{m}.

View solution

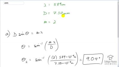
Problem 49

(a) Sodium vapor light averaging 589 nm in wavelength falls on a single slit of width 7.50 μm7.50 \textrm{ }\mu\textrm{m}. At what angle does it produces its second minimum? (b) What is the highest-order minimum produced?

View solution

Problem 50

(a) Find the angle of the third diffraction minimum for 633-nm light falling on a slit of width 20.0 μm20.0\textrm{ }\mu\textrm{m}. (b) What slit width would place this minimum at 85.085.0^\circ? Explicitly show how you follow the steps in Problem-Solving Strategies for Wave Optics

View solution

Problem 51

(a) Find the angle between the first minima for the two sodium vapor lines, which have wavelengths of 589.1 and 589.6 nm, when they fall upon a single slit of width 2.00 μm2.00 \textrm{ }\mu\textrm{m}. (b) What is the distance between these minima if the diffraction pattern falls on a screen 1.00 m from the slit? (c) Discuss the ease or difficulty of measuring such a distance.

View solution

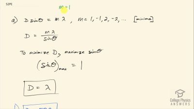
Problem 52

(a) What is the minimum width of a single slit (in multiples of λ ) that will produce a first minimum for a wavelength λ\lambda? (b) What is its minimum width if it produces 50 minima? (c) 1000 minima?

View solution

Problem 53

(a) If a single slit produces a first minimum at 14.514.5^\circ, at what angle is the second-order minimum? (b) What is the angle of the third-order minimum? (c) Is there a fourth-order minimum? (d) Use your answers to illustrate how the angular width of the central maximum is about twice the angular width of the next maximum (which is the angle between the first and second minima).

View solution

Problem 54

A double slit produces a diffraction pattern that is a combination of single and double slit interference. Find the ratio of the width of the slits to the separation between them, if the first minimum of the single slit pattern falls on the fifth maximum of the double slit pattern. (This will greatly reduce the intensity of the fifth maximum.)

View solution

Problem 55

A water break at the entrance to a harbor consists of a rock barrier with a 50.0-m-wide opening. Ocean waves of 20.0-m wavelength approach the opening straight on. At what angle to the incident direction are the boats inside the harbor most protected against wave action?

View solution

Problem 56

An aircraft maintenance technician walks past a tall hangar door that acts like a single slit for sound entering the hangar. Outside the door, on a line perpendicular to the opening in the door, a jet engine makes a 600-Hz sound. At what angle with the door will the technician observe the first minimum in sound intensity if the vertical opening is 0.800 m wide and the speed of sound is 340 m/s?

View solution

Section 27.6: Limits of Resolution: The Rayleigh Criterion

Problem 57

The 300-m-diameter Arecibo radio telescope pictured in Figure 27.28 detects radio waves with a 4.00 cm average wavelength. (a) What is the angle between two just-resolvable point sources for this telescope? (b) How close together could these point sources be at the 2 million light year distance of the Andromeda galaxy?

View solution

Problem 59

Diffraction spreading for a flashlight is insignificant compared with other limitations in its optics, such as spherical aberrations in its mirror. To show this, calculate the minimum angular spreading of a flashlight beam that is originally 5.00 cm in diameter with an average wavelength of 600 nm.

View solution

Problem 60

(a) What is the minimum angular spread of a 633-nm wavelength He-Ne laser beam that is originally 1.00 mm in diameter? (b) If this laser is aimed at a mountain cliff 15.0 km away, how big will the illuminated spot be? (c) How big a spot would be illuminated on the Moon, neglecting atmospheric effects? (This might be done to hit a corner reflector to measure the round-trip time and, hence, distance.) Explicitly show how you follow the steps in Problem-Solving Strategies for Wave Optics.

View solution

Problem 61

A telescope can be used to enlarge the diameter of a laser beam and limit diffraction spreading. The laser beam is sent through the telescope in opposite the normal direction and can then be projected onto a satellite or the Moon. (a) If this is done with the Mount Wilson telescope, producing a 2.54-m-diameter beam of 633-nm light, what is the minimum angular spread of the beam? (b) Neglecting atmospheric effects, what is the size of the spot this beam would make on the Moon, assuming a lunar distance of 3.84×108 m3.84 \times 10^8 \textrm{ m}?

View solution

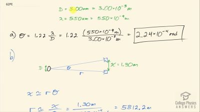
Problem 62

The limit to the eye’s acuity is actually related to diffraction by the pupil. (a) What is the angle between two just-resolvable points of light for a 3.00-mm-diameter pupil, assuming an average wavelength of 550 nm? (b) Take your result to be the practical limit for the eye. What is the greatest possible distance a car can be from you if you can resolve its two headlights, given they are 1.30 m apart? (c) What is the distance between two just-resolvable points held at an arm’s length (0.800 m) from your eye? (d) How does your answer to (c) compare to details you normally observe in everyday circumstances?

View solution

Problem 63

What is the minimum diameter mirror on a telescope that would allow you to see details as small as 5.00 km on the Moon some 384,000 km away? Assume an average wavelength of 550 nm for the light received.

View solution

Problem 64

You are told not to shoot until you see the whites of their eyes. If the eyes are separated by 6.5 cm and the diameter of your pupil is 5.0 mm, at what distance can you resolve the two eyes using light of wavelength 555 nm?

View solution

Problem 65

(a) The planet Pluto and its Moon Charon are separated by 19,600 km. Neglecting atmospheric effects, should the 5.08-m-diameter Mount Palomar telescope be able to resolve these bodies when they are 4.50×109 km4.50 \times 10^{9} \textrm{ km} from Earth? Assume an average wavelength of 550 nm. (b) In actuality, it is just barely possible to discern that Pluto and Charon are separate bodies using an Earth-based telescope. What are the reasons for this?

View solution

Problem 66

The headlights of a car are 1.3 m apart. What is the maximum distance at which the eye can resolve these two headlights? Take the pupil diameter to be 0.40 cm.

View solution

Problem 67

When dots are placed on a page from a laser printer, they must be close enough so that you do not see the individual dots of ink. To do this, the separation of the dots must be less than Raleigh’s criterion. Take the pupil of the eye to be 3.0 mm and the distance from the paper to the eye of 35 cm; find the minimum separation of two dots such that they cannot be resolved. How many dots per inch (dpi) does this correspond to?

View solution

Problem 68

An amateur astronomer wants to build a telescope with a diffraction limit that will allow him to see if there are people on the moons of Jupiter. (a) What diameter mirror is needed to be able to see 1.00 m detail on a Jovian Moon at a distance of 7.50×108 km7.50\times 10^{8}\textrm{ km} from Earth? The wavelength of light averages 600 nm. (b) What is unreasonable about this result? (c) Which assumptions are unreasonable or inconsistent?

View solution

Section 27.7: Thin Film Interference

Problem 70

A soap bubble is 100 nm thick and illuminated by white light incident perpendicular to its surface. What wavelength and color of visible light is most constructively reflected, assuming the same index of refraction as water?

View solution

Problem 71

An oil slick on water is 120 nm thick and illuminated by white light incident perpendicular to its surface. What color does the oil appear (what is the most constructively reflected wavelength), given its index of refraction is 1.40?

View solution

Problem 72

Calculate the minimum thickness of an oil slick on water that appears blue when illuminated by white light perpendicular to its surface. Take the blue wavelength to be 470 nm and the index of refraction of oil to be 1.40.

View solution

Problem 73

Find the minimum thickness of a soap bubble that appears red when illuminated by white light perpendicular to its surface. Take the wavelength to be 680 nm, and assume the same index of refraction as water.

View solution

Problem 74

A film of soapy water ( n = 1.33 ) on top of a plastic cutting board has a thickness of 233 nm. What color is most strongly reflected if it is illuminated perpendicular to its surface?

View solution

Problem 75

What are the three smallest non-zero thicknesses of soapy water (n=1.33n = 1.33) on Plexiglas if it appears green (constructively reflecting 520-nm light) when illuminated perpendicularly by white light? Explicitly show how you follow the steps in Problem Solving Strategies for Wave Optics.

View solution

Problem 76

Suppose you have a lens system that is to be used primarily for 700-nm red light. What is the second thinnest coating of fluorite (magnesium fluoride) that would be non- reflective for this wavelength?

View solution

Problem 77

(a) As a soap bubble thins it becomes dark, because the path length difference becomes small compared with the wavelength of light and there is a phase shift at the top surface. If it becomes dark when the path length difference is less than one-fourth the wavelength, what is the thickest the bubble can be and appear dark at all visible wavelengths? Assume the same index of refraction as water. (b) Discuss the fragility of the film considering the thickness found.

View solution

Problem 78

A film of oil on water will appear dark when it is very thin, because the path length difference becomes small compared with the wavelength of light and there is a phase shift at the top surface. If it becomes dark when the path length difference is less than one-fourth the wavelength, what is the thickest the oil can be and appear dark at all visible wavelengths? Oil has an index of refraction of 1.40.

View solution

Problem 79

Figure 27.34 shows two glass slides illuminated by pure- wavelength light incident perpendicularly. The top slide touches the bottom slide at one end and rests on a 0.100-mm-diameter hair at the other end, forming a wedge of air. (a) How far apart are the dark bands, if the slides are 7.50 cm long and 589-nm light is used? (b) Is there any difference if the slides are made from crown or flint glass? Explain.

View solution

Problem 80

Figure 27.34 shows two 7.50-cm-long glass slides illuminated by pure 589-nm wavelength light incident perpendicularly. The top slide touches the bottom slide at one end and rests on some debris at the other end, forming a wedge of air. How thick is the debris, if the dark bands are 1.00 mm apart?

View solution

Problem 81

A soap bubble is 100 nm thick and illuminated by white light incident at a 4545^\circ to its surface. What wavelength and color of visible light is most constructively reflected, assuming the same index of refraction as water?

View solution

Problem 83

To save money on making military aircraft invisible to radar, an inventor decides to coat them with a non-reflective material having an index of refraction of 1.20, which is between that of air and the surface of the plane. This, he reasons, should be much cheaper than designing Stealth bombers. (a) What thickness should the coating be to inhibit the reflection of 4.00-cm wavelength radar? (b) What is unreasonable about this result? (c) Which assumptions are unreasonable or inconsistent?

View solution

Section 27.8: Polarization

Problem 84

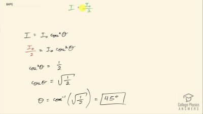
What angle is needed between the direction of polarized light and the axis of a polarizing filter to cut its intensity in half?

View solution

Problem 85

The angle between the axes of two polarizing filters is 45.045.0^\circ. By how much does the second filter reduce the intensity of the light coming through the first?

View solution

Problem 86

If you have completely polarized light of intensity 150 W/m2150\textrm{ W/m}^2 , what will its intensity be after passing through a polarizing filter with its axis at an 89.089.0^\circ angle to the light’s polarization direction?

View solution

Problem 87

What angle would the axis of a polarizing filter need to make with the direction of polarized light of intensity 1.00 kW/m21.00 \textrm{ kW/m}^2 to reduce the intensity to 10.0 W/m210.0 \textrm{ W/m}^2?

View solution

Problem 88

At the end of Example 27.8, it was stated that the intensity of polarized light is reduced to 90.0% of its original value by passing through a polarizing filter with its axis at an angle of 18.418.4^\circ to the direction of polarization. Verify this statement.

View solution

Problem 89

Show that if you have three polarizing filters, with the second at an angle of 4545^\circ to the first and the third at an angle of 90.090.0^\circ to the first, the intensity of light passed by the first will be reduced to 25.0%25.0 \% of its value. (This is in contrast to having only the first and third, which reduces the intensity to zero, so that placing the second between them increases the intensity of the transmitted light.)

View solution

Problem 90

Prove that, if II is the intensity of light transmitted by two polarizing filters with axes at an angle θ\theta and II' is the intensity when the axes are at an angle 90.0θ90.0^\circ - \theta, then I+I=I0I + I' = I_0, the original intensity. (Hint: Use the trigonometric identities cos(90.0θ)=sinθ\cos{(90.0^\circ - \theta)} = \sin{\theta} and cos2θ+sin2θ=1\cos ^2 \theta + \sin ^2 \theta = 1.)

View solution

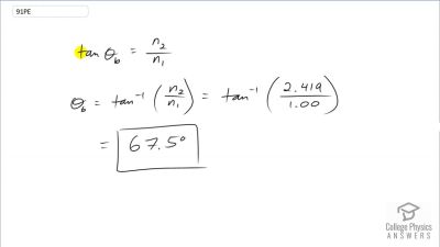
Problem 95

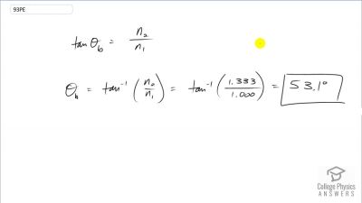
Light reflected at 55.655.6^\circ from a window is completely polarized. What is the window’s index of refraction and the likely substance of which it is made?

View solution

Problem 96

(a) Light reflected at 62.562.5^\circ from a gemstone in a ring is completely polarized. Can the gem be a diamond? (b) At what angle would the light be completely polarized if the gem was in water?

View solution

Problem 97

If θb\theta_b is Brewster’s angle for light reflected from the top of an interface between two substances, and θb\theta_b' is Brewster’s angle for light reflected from below, prove that θb+θb=90.0\theta_b + \theta_b' = 90.0^\circ.

View solution

Problem 98

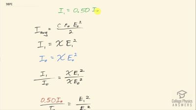
If a polarizing filter reduces the intensity of polarized light to 50.0% of its original value, by how much are the electric and magnetic fields reduced?

View solution

Problem 99

Suppose you put on two pairs of Polaroid sunglasses with their axes at an angle of 15.015.0^\circ. How much longer will it take the light to deposit a given amount of energy in your eye compared with a single pair of sunglasses? Assume the lenses are clear except for their polarizing characteristics.

View solution

Problem 100

(a) On a day when the intensity of sunlight is 1.00 kW/m21.00\textrm{ kW/m}^2, a circular lens 0.200 m in diameter focuses light onto water in a black beaker. Two polarizing sheets of plastic are placed in front of the lens with their axes at an angle of 20.020.0^\circ. Assuming the sunlight is unpolarized and the polarizers are 100% efficient, what is the initial rate of heating of the water in C/s\textrm{C}^\circ\textrm{/s} , assuming it is 80.0% absorbed? The aluminum beaker has a mass of 30.0 grams and contains 250 grams of water. (b) Do the polarizing filters get hot? Explain.

View solution

Test Prep for AP® Courses

Section 27.2: Huygens's Principle: Diffraction

Problem 1 (AP)

Which of the following statements is true about Huygens’s principle of secondary wavelets?
  1. It can be used to explain the particle behavior of waves.
  2. It states that each point on a wavefront can be considered a new wave source.
  3. It can be used to find the velocity of a wave.
  4. All of the above.

View solution

Section 27.3: Young's Double Slit Experiment

Problem 3 (AP)

Superposition of which of the following light waves may produce interference fringes? Select two answers.
  1. Wave1 = A1sin(2ωt)A_1\sin(2 \omega t)
  2. Wave2 = A2sin(4ωt)A_2\sin(4 \omega t)
  3. Wave3 = A3sin(2ωt+θ)A_3\sin(2 \omega t + \theta)
  4. Wave4 = A4sin(4ωt+θ)A_4\sin(4 \omega t + \theta)
  1. Wave1 and Wave2
  2. Wave2 and Wave4
  3. Wave3 and Wave1
  4. Wave4 and Wave3

View solution

Problem 4 (AP)

In a double slit experiment with monochromatic light, the separation between the slits is 2 mm. If the screen is moved by 100 mm toward the slits, the distance between the central bright line and the second bright line changes by 32 μm. Calculate the wavelength of the light used for the experiment.

View solution

Problem 5 (AP)

In a double slit experiment, a student measures the maximum and minimum intensities when two waves with equal amplitudes are used. The student then doubles the amplitudes of the two waves and performs the measurements again. Which of the following will remain unchanged?
  1. The intensity of the bright fringe
  2. The intensity of the dark fringe
  3. The difference in the intensities of consecutive bright
  4. and dark fringes
  5. None of the above

View solution

Problem 6 (AP)

Draw a figure to show the resultant wave produced when two coherent waves (with equal amplitudes x) interact in phase. What is the amplitude of the resultant wave? If the phase difference between the coherent waves is changed to 60o, what will be new amplitude?

View solution

Problem 7 (AP)

What will be the amplitude of the central fringe if the amplitudes of the two waves in a double slit experiment are a and 3a?
  1. 2a2a
  2. 4a4a
  3. 8a28a^2
  4. 16a216a^2

View solution

Problem 8 (AP)

If the ratio of amplitudes of the two waves in a double slit experiment is 3:4, calculate the ratio of minimum intensity (dark fringe) to maximum intensity (bright fringe).

View solution

Section 27.4: Multiple Slit Diffraction

Problem 9 (AP)

Which of the following cannot be a possible outcome of passing white light through several evenly spaced parallel slits?
  1. The central maximum will be white but the higher-order maxima will disperse into a rainbow of colors.
  2. The central maximum and higher-order maxima will be of equal widths.
  3. The lower wavelength components of light will have less diffraction compared to higher wavelength components for all maxima except the central one.
  4. None of the above.

View solution

Problem 10 (AP)

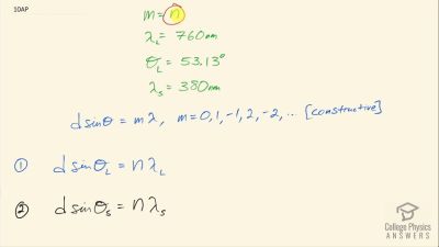
White light is passed through a diffraction grating to a screen some distance away. The nth-order diffraction angle for the longest wavelength (760 nm) is 53.1353.13^\circ. Find the nth- order diffraction angle for the shortest wavelength (380 nm). What will be the change in the two angles if the distance between the screen and the grating is doubled?

View solution

Section 27.5: Single Slit Diffraction

Problem 11 (AP)

A diffraction pattern is formed on a screen when light of wavelength 410 nm is passed through a single slit of width 1 μm. If the source light is replaced by another light of wavelength 700 nm, what should be the width of the slit so that the new light produces a pattern with the same spacing?
  1. 0.6 μm0.6 \textrm{ }\mu\textrm{m}
  2. 1 μm1 \textrm{ }\mu\textrm{m}
  3. 1.4 μm1.4 \textrm{ }\mu\textrm{m}
  4. 1.7 μm1.7 \textrm{ }\mu\textrm{m}

View solution

Problem 12 (AP)

Monochromatic light passing through a single slit forms a diffraction pattern on a screen. If the second minimum occurs at an angle of 1515^\circ, find the angle for the fourth minimum.

View solution

Section 27.6: Limits of Resolution: The Rayleigh Criterion

Problem 13 (AP)

What is the relationship between the width (W) of the central diffraction maximum formed through a circular aperture and the size (S) of the aperture?
  1. W increases as S increases.
  2. W decreases as S increases.
  3. W can increase or decrease as S decreases.
  4. W can neither increase nor decrease as S decreases.

View solution

Problem 14 (AP)

Light from two sources passes through a circular aperture to form images on a screen. State the Rayleigh criterion for the images to be just resolvable and draw a figure to visually explain it.

View solution

Section 27.7: Thin Film Interference

Problem 15 (AP)

Which of the following best describes the cause of thin film interference?
  1. Light reflecting from a medium having an index of refraction less than that of the medium in which it is traveling.
  2. Light reflecting from a medium having an index of refraction greater than that of the medium in which it is traveling.
  3. Light changing its wavelength and speed after reflection.
  4. Light reflecting from the top and bottom surfaces of a film.

View solution

Problem 16 (AP)

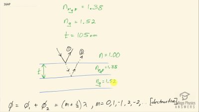
A film of magnesium fluoride (n = 1.38) is used to coat a glass camera lens (n = 1.52). If the thickness of the film is 105 nm, calculate the wavelength of visible light that will have the most limited reflection.

View solution

Section 27.8: Polarization

Problem 17 (AP)

Which of the following statements is true for the direction of polarization for a polarized light wave?
  1. It is parallel to the direction of propagation and perpendicular to the direction of the electric field.
  2. It is perpendicular to the direction of propagation and parallel to the direction of the electric field.
  3. It is parallel to the directions of propagation and the electric field.
  4. It is perpendicular to the directions of propagation and the electric field.

View solution

Problem 18 (AP)

In an experiment, light is passed through two polarizing filters. The image below shows the first filter and axis of polarization. The intensity of the resulting light (after the first filter) is recorded as I. Three configurations (at different angles) are set up for the second filter, and the intensity of light is recorded for each configuration. The results are shown in the table below: Complete the table by calculating θ1\theta_1, θ2\theta_2, and θ3\theta_3.

View solution