Question
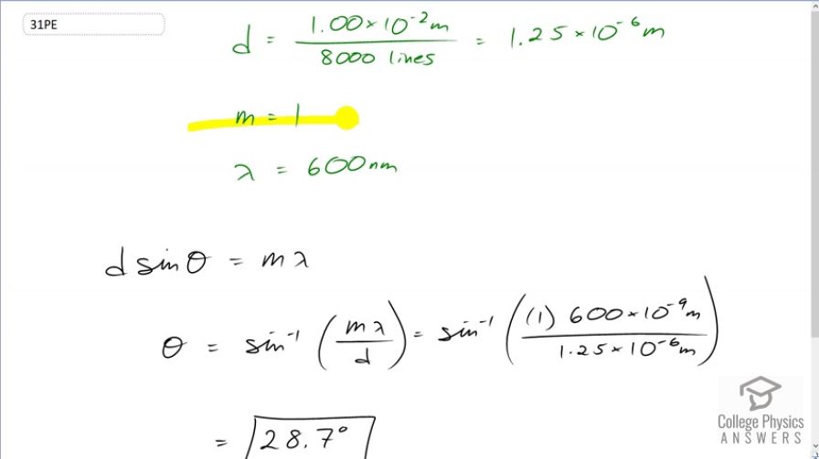
Structures on a bird feather act like a reflection grating having 8000 lines per centimeter. What is the angle of the first-order maximum for 600-nm light?
Question by OpenStax is licensed under CC BY 4.0
Final Answer
28.728.7^\circ

Solution video

OpenStax College Physics for AP® Courses, Chapter 27, Problem 31 (Problems & Exercises)

OpenStax College Physics, Chapter 27, Problem 31 (PE) video thumbnail

In order to watch this solution you need to have a subscription.

Start free trial Log in
vote with a rating of votes with an average rating of .

Calculator Screenshots

  • OpenStax College Physics, Chapter 27, Problem 31 (PE) calculator screenshot 1
Video Transcript
This is College Physics Answers with Shaun Dychko. Structures on a bird feather act like a diffraction grating that reflects with 8,000 lines per centimeter. And the first order maximum is what we want to find. What is the angle to the first order of maximum given a wavelength that's incident to 600 nanometers. So the separation between the, we wouldn't call them slits because the light is not transmitting through the diffraction grating in this case it's reflecting off. So you might see these scratches in the structure and the separation between each scratch is gonna be one time state of the minus two meters that's one centimeter for every 8,000 lines. And this means there is one in a quarter micrometers between each line that's 1.25 times ten to the minus six meters between each line. We want to know the first order of maximum, so m is one and the wavelength is 600 nanometers and this formula, we can solve for theta by dividing both sides by d and then take the inverse sine of both sides. So the angle is going to be the inverse sine of the order times the wavelength divided by the separation between the cuts. So that's inverse sine of the order of one times 600 times ten to the minus nine meters divided by 1.25 times ten to the minus six meters giving an angle of 28.7 degrees to the first order of maximum with 600 nanometer wavelength light.