Question
At what angle will light reflected from diamond be completely polarized?
Question by OpenStax is licensed under CC BY 4.0
Final Answer
67.567.5^\circ

Solution video

OpenStax College Physics for AP® Courses, Chapter 27, Problem 91 (Problems & Exercises)

OpenStax College Physics, Chapter 27, Problem 91 (PE) video thumbnail

In order to watch this solution you need to have a subscription.

Start free trial Log in
vote with a rating of votes with an average rating of .

Calculator Screenshots

  • OpenStax College Physics, Chapter 27, Problem 91 (PE) calculator screenshot 1
Video Transcript
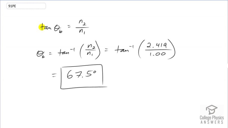
This is College Physics Answers with Shaun Dychko. The minimum angle at which reflected light will be polarized is called the Brewster's angle. And we have equation for it that says a tangent of the Brewster's angle is the index of refraction of the second material divided by index refraction of the first material. So, in this case we have light incident on some diamond and so light is traveling through an initial material with index refraction of 1.00 that of air and then is reflecting from diamond which has an index of refraction of 2.419. And then we're trying to figure out what is this theta b here such that the reflected light is polarized. So, take the inverse tangent of both sides and we have Brewster's angle then it’s the inverse tangent of n two over n one. So, the inverse tangent of 2.419 divided by one which is 67.5 degrees.