Question
(a) What is the wavelength of a photon that has a momentum of ? (b) Find its energy in eV.
Final Answer
Solution video
OpenStax College Physics, Chapter 29, Problem 40 (Problems & Exercises)

vote with a rating of
votes with an average rating of
.
Calculator Screenshots
Video Transcript
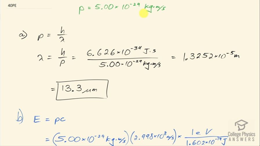
This is College Physics Answers with Shaun Dychko. What is the wavelength of a photon that has momentum of 5.00 times 10 to the minus 29 kilogram meters per second? Well momentum of a photon is Planck's constant divided by wavelength and so we can solve for wavelength by multiplying both sides by λ over p. So λ then is Planck's constant divided by momentum that's 6.626 times 10 to the minus 34 joule seconds divided by 5.00 times 10 to the minus 29 kilogram meters per second and that's 1.3252 times 10 to the minus 5 meters and written in micrometers that's 13.3 micrometers. Part (b) asks us for the energy of this photon. Now we could use the formula energy equals hc over λ— Planck's constant times speed of light divided by wavelength— because now we found the wavelength but it's a bit risky to use a calculation that you have done in a subsequent part of the question. Easier or better or safer, I should say, to use information given directly by the question in your calculation so let's go with this formula instead which says that energy is the momentum multiplied by the speed of light. So that's 5.00 times 10 to the minus 29 kilogram meters per second times the speed of light and we are told to give our answer in electron volts so we multiply by 1 electron volt for every 1.602 times 10 to the minus 19 joules because we know that these units here together are going to make units of joules because these are mks units and joule is also an mks unit and we'll be left with 9.36 times 10 to the minus 2 electron volts.