Question
(a) A -ray photon has a momentum of . What is its wavelength? (b) Calculate its energy in MeV.
Final Answer
Solution video
OpenStax College Physics, Chapter 29, Problem 41 (Problems & Exercises)

vote with a rating of
votes with an average rating of
.
Calculator Screenshots
Video Transcript
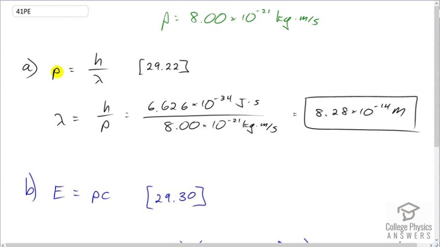
This is College Physics Answers with Shaun Dychko. A gamma-ray photon has a momentum of 8 times 10 to the minus 21 kilograms meters per second and we have to figure out its wavelength. So momentum is Planck's constant divided by wavelength; that's equation [29.22]. And we can solve this for lambda by multiplying both sides by lambda over momentum. So wavelength is Planck's constant over momentum and then that works out to 8.28 times 10 to the minus 14 meters. The energy of a photon is its momentum multiplied by speed of light; that's equation [29.30]. And so we can take this answer sorry, not the answer but the momentum given to us, I should say, and then multiply that by speed of light and then convert the units into megaelectron volts because the question asks us to do that here. And this will give us units of joules because joules is an mks type of unit— meters, kilograms and seconds unit— which is what we are working with here and so we get joules out of that product. And then we multiply that by 1 electron volt for every 1.602 times 10 to the minus 19 joules giving us electron volts but we want megaelectron volts so then we further multiply that by 1 megaelectron volt for every 10 to the 6 electron volts. This works out to 15.0 megaelectron volts for this gamma-ray.