Question
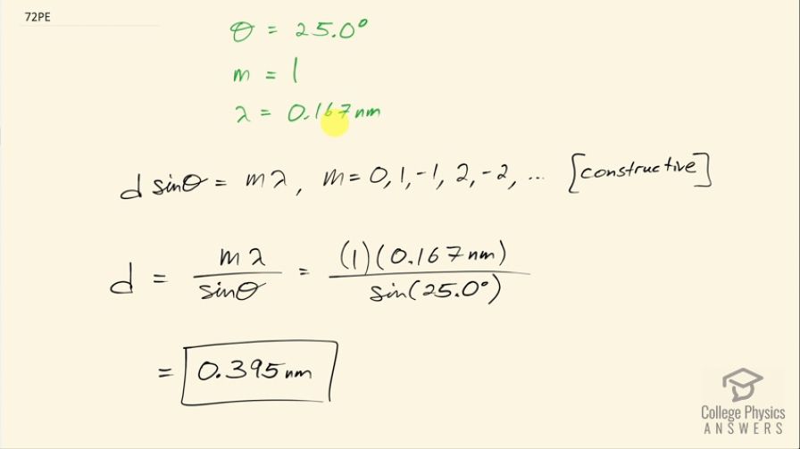
The 54.0-eV electron in Example 29.7 has a 0.167-nm wavelength. If such electrons are passed through a double slit and have their first maximum at an angle of 25.0o , what is
the slit separation d ?
Final Answer
Solution video
OpenStax College Physics, Chapter 29, Problem 72 (Problems & Exercises)

vote with a rating of
votes with an average rating of
.
Calculator Screenshots
Video Transcript
This is College Physics Answers with Shaun Dychko. An electron with a de Broglie wavelength of 0.167 nanometers passes through a double slit and has an interference pattern with the first maximum at an angle of 25.0 degrees so m is 1 in this formula for the interference pattern through a double slit this is the distance between the slits and that's what we have to find multiplied by sin of the angle to the maximum equals the order of the maximum times the wavelength and we can solve for d by dividing both sides by sin Θ and so we get the separation between the slits then is the order times the wavelength divided by sin of the angle to the maximum. So it's the first maximum, which gives it an order of 1 multiplied by 0.167 nanometers and since I have written this wavelength in nanometers that means our separation between slits will have units of nanometers as well we are dividing this by sin 25 degrees and that works out to 0.395 nanometers.