Question
(a) Find the energy in joules and eV of photons in radio waves from an FM station that has a 90.0-MHz broadcast frequency. (b) What does this imply about the number of photons per second that the radio station must broadcast?
Final Answer
- $3.37 \times 10^{-7}
- The radio station must broadcast a tremendous number of photons.
Solution video
OpenStax College Physics, Chapter 29, Problem 21 (Problems & Exercises)

vote with a rating of
votes with an average rating of
.
Calculator Screenshots
Video Transcript
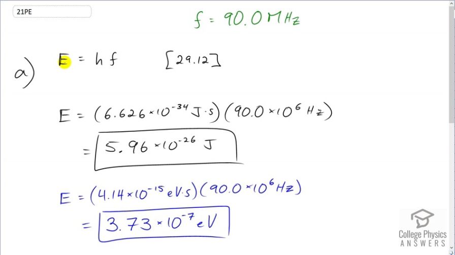
This is College Physics Answers with Shaun Dychko. A radio station transmits at a frequency of 90Mhz and our question is to figure out the energy of each photon in this transmission. So the energy is Planck's constant times the frequency. So in units of joules, we'll choose Planck's constant to be 6.626 times 10 to the minus 34 joules second multiplied by 90 times 10 to the 6 Hz which gives 5.96 times 10 to the minus 26 joules of energy in each photon. And then to express that energy in electron volts, we could take this answer and multiply it by 1 electron volt for every 1.602 times 10 to the minus 19 joules— that would be fine—but I prefer always to not use a number that I calculated to figure out an answer because maybe there's a mistake in this calculation. So we'll return to the number that we are given in the question—90Mhz; multiply it by Planck's constant, expressed with units of electron volt seconds giving us 3.73 times 10 to the minus 7 electron volts. This energy is very small and so it means that the radio station must broadcast a tremendous number of photons in order to have a power of, say, 1 kilowatt. The number of photons per second would be we'll have 1 photon for every 5.96 times 10 to the minus 26 joules times 1000 watts, which is written as joules per second here. and the joules cancel giving us photons per second. And that's 1.68 times 10 to the 28 photons per second.