Chapter 29

Chapter thumbnail
A black fly imaged by an electron microscope is as monstrous as any science-fiction creature.

Chapter 29 : Introduction to Quantum Physics - all with Video Solutions

Problems & Exercises

Section 29.1: Quantization of Energy

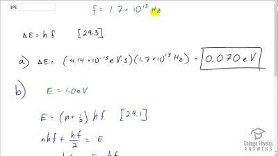
Problem 1

A LiBr molecule oscillates with a frequency of 1.7×1013 Hz1.7 \times 10^{13} \textrm{ Hz}. (a) What is the difference in energy in eV between allowed oscillator states? (b) What is the approximate value of n for a state having an energy of 1.0 eV?

View solution

Problem 2

The difference in energy between allowed oscillator states in HBr molecules is 0.330 eV. What is the oscillation frequency of this molecule?

View solution

Problem 3

A physicist is watching a 15-kg orangutan at a zoo swing lazily in a tire at the end of a rope. He (the physicist) notices that each oscillation takes 3.00 s and hypothesizes that the energy is quantized. (a) What is the difference in energy in joules between allowed oscillator states? (b) What is the value of n for a state where the energy is 5.00 J? (c) Can the quantization be observed?

View solution

Section 29.2: The Photoelectric Effect

Problem 4

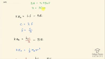
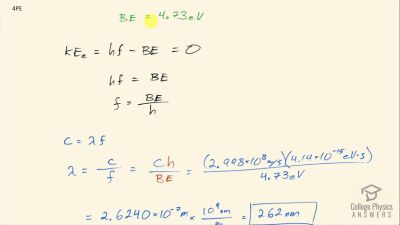
What is the longest-wavelength EM radiation that can eject a photoelectron from silver, given that the binding energy is 4.73 eV? Is this in the visible range?

View solution

Problem 5

Find the longest-wavelength photon that can eject an electron from potassium, given that the binding energy is 2.24 eV. Is this visible EM radiation?

View solution

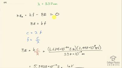
Problem 6

What is the binding energy in eV of electrons in magnesium, if the longest-wavelength photon that can eject electrons is 337 nm?

View solution

Problem 7

Calculate the binding energy in eV of electrons in aluminum, if the longest-wavelength photon that can eject them is 304 nm.

View solution

Problem 8

What is the maximum kinetic energy in eV of electrons ejected from sodium metal by 450-nm EM radiation, given that the binding energy is 2.28 eV?

View solution

Problem 9

UV radiation having a wavelength of 120 nm falls on gold metal, to which electrons are bound by 4.82 eV. What is the maximum kinetic energy of the ejected photoelectrons?

View solution

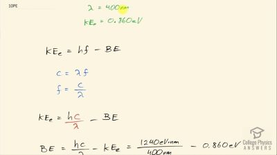
Problem 10

Violet light of wavelength 400 nm ejects electrons with a maximum kinetic energy of 0.860 eV from sodium metal. What is the binding energy of electrons to sodium metal?

View solution

Problem 11

UV radiation having a 300-nm wavelength falls on uranium metal, ejecting 0.500-eV electrons. What is the binding energy of electrons to uranium metal?

View solution

Problem 12

What is the wavelength of EM radiation that ejects 2.00-eV electrons from calcium metal, given that the binding energy is 2.71 eV? What type of EM radiation is this?

View solution

Problem 13

Find the wavelength of photons that eject 0.100-eV electrons from potassium, given that the binding energy is 2.24 eV. Are these photons visible?

View solution

Problem 14

What is the maximum velocity of electrons ejected from a material by 80-nm photons, if they are bound to the material by 4.73 eV?

View solution

Problem 15

Photoelectrons from a material with a binding energy of 2.71 eV are ejected by 420-nm photons. Once ejected, how long does it take these electrons to travel 2.50 cm to a detection device?

View solution

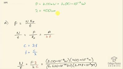
Problem 16

A laser with a power output of 2.00 mW at a wavelength of 400 nm is projected onto calcium metal. (a) How many electrons per second are ejected? (b) What power is carried away by the electrons, given that the binding energy is 2.71 eV?

View solution

Problem 17

(a) Calculate the number of photoelectrons per second ejected from a 1.00 mm21.00 \textrm{ mm}^2 area of sodium metal by 500-nm EM radiation having an intensity of 1.30 kW/m21.30 \textrm{ kW/m}^2 (the intensity of sunlight above the Earth’s atmosphere). (b) Given that the binding energy is 2.28 eV, what power is carried away by the electrons? (c) The electrons carry away less power than brought in by the photons. Where does the other power go? How can it be recovered?

View solution

Problem 18

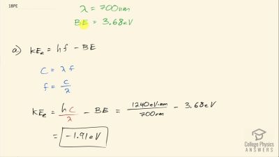
Red light having a wavelength of 700 nm is projected onto magnesium metal to which electrons are bound by 3.68 eV. (a) Use KEe=hfBE\textrm{KE}_e = hf - \textrm{BE} to calculate the kinetic energy of e the ejected electrons. (b) What is unreasonable about this result? (c) Which assumptions are unreasonable or inconsistent?

View solution

Problem 19

(a) What is the binding energy of electrons to a material from which 4.00-eV electrons are ejected by 400-nm EM radiation? (b) What is unreasonable about this result? (c) Which assumptions are unreasonable or inconsistent?

View solution

Section 29.3: Photon Energies and the Electromagnetic Spectrum

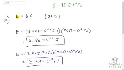
Problem 21

(a) Find the energy in joules and eV of photons in radio waves from an FM station that has a 90.0-MHz broadcast frequency. (b) What does this imply about the number of photons per second that the radio station must broadcast?

View solution

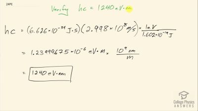
Problem 24

Do the unit conversions necessary to show that hc=1240 eVnmhc = 1240\textrm{ eV}\cdot\textrm{nm}, as stated in the text.

View solution

Problem 25

Confirm the statement in the text that the range of photon energies for visible light is 1.63 to 3.26 eV, given that the range of visible wavelengths is 380 to 760 nm.

View solution

Problem 26

(a) Calculate the energy in eV of an IR photon of frequency 2.00×1013 Hz2.00\times 10^{13}\textrm{ Hz}. (b) How many of these photons would need to be absorbed simultaneously by a tightly bound molecule to break it apart? (c) What is the energy in eV of a γ\gamma ray of frequency 3.00×1020 Hz3.00\times 10^{20}\textrm{ Hz}? (d) How many tightly bound molecules could a single such γ ray break apart?

View solution

Problem 27

Prove that, to three-digit accuracy, h=4.14×1015 eVsh = 4.14 \times 10^{-15} \textrm{ eV}\cdot \textrm{s}, as stated in the text.

View solution

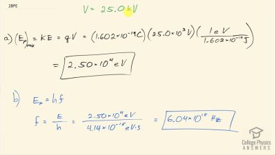
Problem 28

(a) What is the maximum energy in eV of photons produced in a CRT using a 25.0-kV accelerating potential, such as a color TV? (b) What is their frequency?

View solution

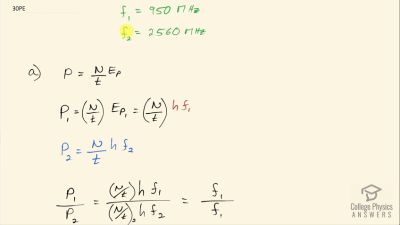
Problem 30

(a) What is the ratio of power outputs by two microwave ovens having frequencies of 950 and 2560 MHz, if they emit the same number of photons per second? (b) What is the ratio of photons per second if they have the same power output?

View solution

Problem 31

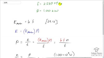
How many photons per second are emitted by the antenna of a microwave oven, if its power output is 1.00 kW at a frequency of 2560 MHz?

View solution

Problem 32

Some satellites use nuclear power. (a) If such a satellite emits a 1.00-W flux of γ\gamma rays having an average energy of 0.500 MeV, how many are emitted per second? (b) These γ rays affect other satellites. How far away must another satellite be to only receive one γ ray per second per square meter?

View solution

Problem 33

(a) If the power output of a 650-kHz radio station is 50.0 kW, how many photons per second are produced? (b) If the radio waves are broadcast uniformly in all directions, find the number of photons per second per square meter at a distance of 100 km. Assume no reflection from the ground or absorption by the air.

View solution

Problem 34

How many x-ray photons per second are created by an x- ray tube that produces a flux of x rays having a power of 1.00 W? Assume the average energy per photon is 75.0 keV.

View solution

Problem 35

(a) How far away must you be from a 650-kHz radio station with power 50.0 kW for there to be only one photon per second per square meter? Assume no reflections or absorption, as if you were in deep outer space. (b) Discuss the implications for detecting intelligent life in other solar systems by detecting their radio broadcasts.

View solution

Problem 36

Assuming that 10.0% of a 100-W light bulb’s energy output is in the visible range (typical for incandescent bulbs) with an average wavelength of 580 nm, and that the photons spread out uniformly and are not absorbed by the atmosphere, how far away would you be if 500 photons per second enter the 3.00-mm diameter pupil of your eye? (This number easily stimulates the retina.)

View solution

Section 29.4: Photon Momentum

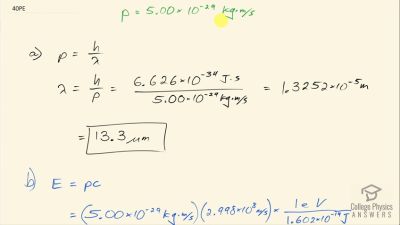
Problem 40

(a) What is the wavelength of a photon that has a momentum of 5.00×1029 kgm/s5.00\times 10^{-29}\textrm{ kg}\cdot\textrm{m/s}? (b) Find its energy in eV.

View solution

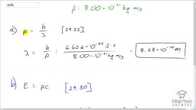
Problem 41

(a) A γ\gamma-ray photon has a momentum of 8.00×1021 kgm/s8.00\times 10^{-21} \textrm{ kg}\cdot \textrm{m/s}. What is its wavelength? (b) Calculate its energy in MeV.

View solution

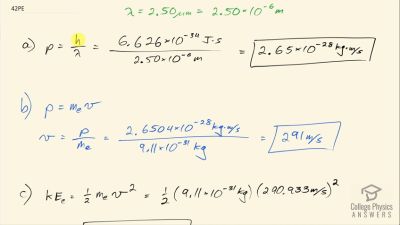
Problem 42

(a) Calculate the momentum of a photon having a wavelength of 2.50 μm2.50\textrm{ }\mu\textrm{m}. (b) Find the velocity of an electron having the same momentum. (c) What is the kinetic energy of the electron, and how does it compare with that of the photon?

View solution

Problem 43

(a) Calculate the momentum of a photon having a wavelength of 10.0 nm10.0 \textrm{ nm} (b) Find the velocity of an electron having the same momentum. (c) What is the kinetic energy of the electron, and how does it compare with that of the photon?

View solution

Problem 44

(a) Calculate the wavelength of a photon that has the same momentum as a proton moving at 1.00% of the speed of light. (b) What is the energy of the photon in MeV? (c) What is the kinetic energy of the proton in MeV?

View solution

Problem 45

(a) Find the momentum of a 100-keV x-ray photon. (b) Find the equivalent velocity of a neutron with the same momentum. (c) What is the neutron’s kinetic energy in keV?

View solution

Problem 46

Take a ratio of relativistic rest energy, E=γmc2E = \gamma mc^2, to relativistic momentum, p=γmup = \gamma mu, and show that in the limit that mass approaches zero, you find Ep=c\dfrac{E}{p} = c.

View solution

Problem 48

A car feels a small force due to the light it sends out from its headlights, equal to the momentum of the light divided by the time in which it is emitted. (a) Calculate the power of each headlight, if they exert a total force of 2.00×102 N2.00\times 10^{-2}\textrm{ N} backward on the car. (b) What is unreasonable about this result? (c) Which assumptions are unreasonable or inconsistent?

View solution

Section 29.6: The Wave Nature of Matter

Problem 51

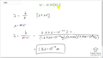
At what velocity does a proton have a 6.00-fm wavelength (about the size of a nucleus)? Assume the proton is nonrelativistic. (1 femtometer = 1015 m10^{-15} \textrm{ m}. )

View solution

Problem 52

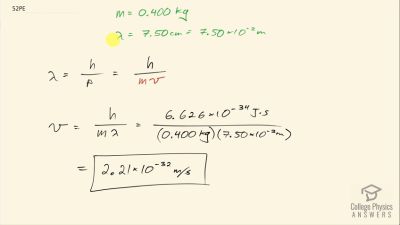
What is the velocity of a 0.400-kg billiard ball if its wavelength is 7.50 cm (large enough for it to interfere with other billiard balls)?

View solution

Problem 54

Experiments are performed with ultracold neutrons having velocities as small as 1.00 m/s. (a) What is the wavelength of such a neutron? (b) What is its kinetic energy in eV?

View solution

Problem 55

(a) Find the velocity of a neutron that has a 6.00-fm wavelength (about the size of a nucleus). Assume the neutron is nonrelativistic. (b) What is the neutron’s kinetic energy in MeV?

View solution

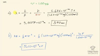
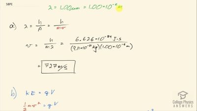
Problem 58

(a) Calculate the velocity of an electron that has a wavelength of 1.00 μm1.00\textrm{ }\mu\textrm{m}. (b) Through what voltage must the electron be accelerated to have this velocity?

View solution

Problem 59

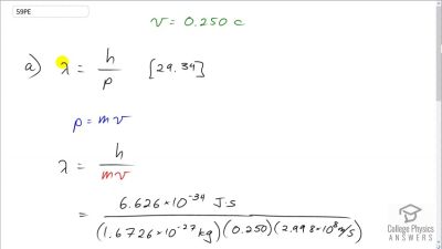
The velocity of a proton emerging from a Van de Graaff accelerator is 25.0% of the speed of light. (a) What is the proton’s wavelength? (b) What is its kinetic energy, assuming it is nonrelativistic? (c) What was the equivalent voltage through which it was accelerated?

View solution

Problem 60

The kinetic energy of an electron accelerated in an x-ray tube is 100 keV. Assuming it is nonrelativistic, what is its wavelength?

View solution

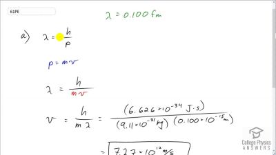
Problem 61

(a) Assuming it is nonrelativistic, calculate the velocity of an electron with a 0.100-fm wavelength (small enough to detect details of a nucleus). (b) What is unreasonable about this result? (c) Which assumptions are unreasonable or inconsistent?

View solution

Section 29.7: Probability: The Heisenberg Uncertainty Principle

Problem 62

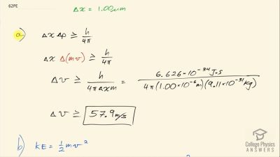
(a) If the position of an electron in a membrane is measured to an accuracy of 1.00 μm1.00\textrm{ }\mu\textrm{m}, what is the electron’s minimum uncertainty in velocity? (b) If the electron has this velocity, what is its kinetic energy in eV? (c) What are the implications of this energy, comparing it to typical molecular binding energies?

View solution

Problem 63

(a) If the position of a chlorine ion in a membrane is measured to an accuracy of 1.00 μm , what is its minimum uncertainty in velocity, given its mass is 5.86×1026 kg5.86 \times 10^{-26} \textrm{ kg} (b) If the ion has this velocity, what is its kinetic energy in eV, and how does this compare with typical molecular binding energies?

View solution

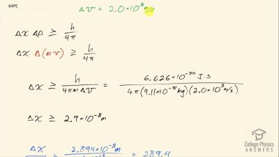
Problem 64

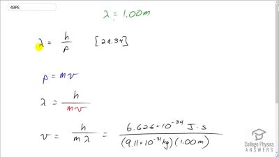
Suppose the velocity of an electron in an atom is known to an accuracy of 2.0×103 m/s2.0\times 10^{3}\textrm{ m/s} (reasonably accurate compared with orbital velocities). What is the electron’s minimum uncertainty in position, and how does this compare with the approximate 0.1-nm size of the atom?

View solution

Problem 65

The velocity of a proton in an accelerator is known to an accuracy of 0.250% of the speed of light. (This could be small compared with its velocity.) What is the smallest possible uncertainty in its position?

View solution

Problem 67

(a) The lifetime of a highly unstable nucleus is 10−20 s . What is the smallest uncertainty in its decay energy? (b) Compare this with the rest energy of an electron.

View solution

Problem 68

The decay energy of a short-lived particle has an uncertainty of 1.0 MeV due to its short lifetime. What is the smallest lifetime it can have?

View solution

Problem 69

The decay energy of a short-lived nuclear excited state has an uncertainty of 2.0 eV due to its short lifetime. What is the smallest lifetime it can have?

View solution

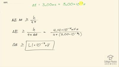
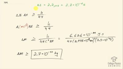
Problem 71

Derive the approximate form of Heisenberg’s uncertainty principle for energy and time, ΔEΔth\Delta E \Delta t \approx h, using the following arguments: Since the position of a particle is uncertain by Δxλ\Delta x \approx \lambda, where λ\lambda is the wavelength of the photon used to examine it, there is an uncertainty in the time the photon takes to traverse Δx\Delta x . Furthermore, the photon has an energy related to its wavelength, and it can transfer some or all of this energy to the object being examined. Thus the uncertainty in the energy of the object is also related to λ\lambda. Find Δt\Delta t and ΔE\Delta E ; then multiply them to give the approximate uncertainty principle.

View solution

Section 29.8: The Particle-Wave Duality Reviewed

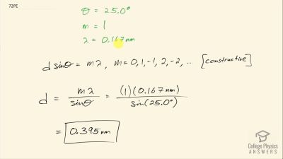
Problem 72

The 54.0-eV electron in Example 29.7 has a 0.167-nm wavelength. If such electrons are passed through a double slit and have their first maximum at an angle of 25.0o , what is the slit separation d ?

View solution

Problem 73

An electron microscope produces electrons with a 2.00-pm wavelength. If these are passed through a 1.00-nm single slit, at what angle will the first diffraction minimum be found?

View solution

Problem 74

A certain heat lamp emits 200 W of mostly IR radiation averaging 1500 nm in wavelength. (a) What is the average photon energy in joules? (b) How many of these photons are required to increase the temperature of a person’s shoulder by 2.0C2.0\textrm{C}^\circ , assuming the affected mass is 4.0 kg with a specific heat of 0.83 kcal/kgC0.83\textrm{ kcal/kg}\cdot\textrm{C}^\circ. Also assume no other significant heat transfer. (c) How long does this take?

View solution

Problem 75

On its high power setting, a microwave oven produces 900 W of 2560 MHz microwaves. (a) How many photons per second is this? (b) How many photons are required to increase the temperature of a 0.500-kg mass of pasta by 45.0 C 45.0 \textrm{ C}^\circ , assuming a specific heat of 0.900 kcal/(kgC)0.900 \textrm{ kcal/(kg}\cdot \textrm{C}^\circ\textrm{)} ? Neglect all other heat transfer. (c) How long must the microwave operator wait for their pasta to be ready?

View solution

Problem 76

(a) Calculate the amount of microwave energy in joules needed to raise the temperature of 1.00 kg of soup from 20C20^\circ\textrm{C} to 100C100^\circ\textrm{C} . (b) What is the total momentum of all the microwave photons it takes to do this? (c) Calculate the velocity of a 1.00-kg mass with the same momentum. (d) What is the kinetic energy of this mass?

View solution

Problem 77

(a) What is λ\lambda for an electron emerging from the Stanford Linear Accelerator with a total energy of 50.0 GeV? (b) Find its momentum. (c) What is the electron’s wavelength?

View solution

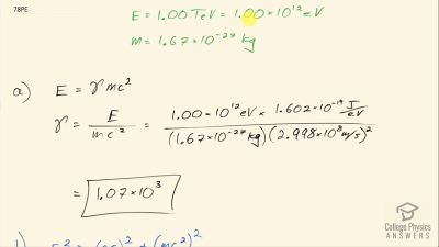
Problem 78

(a) What is γ\gamma for a proton having an energy of 1.00 TeV, produced by the Fermilab accelerator? (b) Find its momentum. (c) What is the proton’s wavelength?

View solution

Problem 79

An electron microscope passes 1.00-pm-wavelength electrons through a circular aperture 2.00 μm2.00 \textrm{ }\mu\textrm{m} in diameter. What is the angle between two just-resolvable point sources for this microscope?

View solution

Problem 80

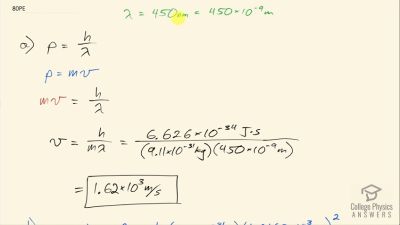
(a) Calculate the velocity of electrons that form the same pattern as 450-nm light when passed through a double slit. (b) Calculate the kinetic energy of each and compare them. (c) Would either be easier to generate than the other? Explain.

View solution

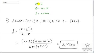
Problem 81

(a) What is the separation between double slits that produces a second-order minimum at 45.045.0^\circ for 650-nm light? (b) What slit separation is needed to produce the same pattern for 1.00-keV protons.

View solution

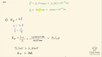
Problem 82

A laser with a power output of 2.00 mW at a wavelength of 400 nm is projected onto calcium metal. (a) How many electrons per second are ejected? (b) What power is carried away by the electrons, given that the binding energy is 2.71 eV? (c) Calculate the current of ejected electrons. (d) If the photoelectric material is electrically insulated and acts like a 2.00-pF capacitor, how long will current flow before the capacitor voltage stops it?

View solution

Problem 83

One problem with x-rays is that they are not sensed. Calculate the temperature increase of a researcher exposed in a few seconds to a nearly fatal accidental dose of x-rays under the following conditions. The energy of the x-ray photons is 200 keV, and 4.00×10134.00 \times 10^{13} of them are absorbed per kilogram of tissue, the specific heat of which is 0.830 kcal/(kgC)0.830 \textrm{ kcal/(kg}\cdot\textrm{C}^\circ\textrm{)} . (Note that medical diagnostic x-ray machines cannot produce an intensity this great.)

View solution

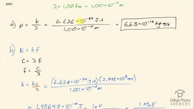
Problem 84

A 1.00-fm photon has a wavelength short enough to detect some information about nuclei. (a) What is the photon momentum? (b) What is its energy in joules and MeV? (c) What is the (relativistic) velocity of an electron with the same momentum? (d) Calculate the electron’s kinetic energy.

View solution

Problem 85

The momentum of light is exactly reversed when reflected straight back from a mirror, assuming negligible recoil of the mirror. Thus the change in momentum is twice the photon momentum. Suppose light of intensity 1.00 kW/m21.00 \textrm{ kW/m}^2 reflects from a mirror of area 2.00 m22.00 \textrm{ m}^2 . (a) Calculate the energy reflected in 1.00 s. (b) What is the momentum imparted to the mirror? (c) Using the most general form of Newton’s second law, what is the force on the mirror? (d) Does the assumption of no mirror recoil seem reasonable?

View solution

Problem 86

Sunlight above the Earth’s atmosphere has an intensity of 1.30×10 kW/m21.30\times 10 \textrm{ kW/m}^2 . If this is reflected straight back from a mirror that has only a small recoil, the light’s momentum is exactly reversed, giving the mirror twice the incident momentum. (a) Calculate the force per square meter of mirror. (b) Very low mass mirrors can be constructed in the near weightlessness of space, and attached to a spaceship to sail it. Once done, the average mass per square meter of the spaceship is 0.100 kg. Find the acceleration of the spaceship if all other forces are balanced. (c) How fast is it moving 24 hours later?

View solution